Fig. 6: Phonon transmission results for the phenomenological effective-medium model rather than the discrete mass-and-spring model.
From: Phonon transmission through a nonlocal metamaterial slab

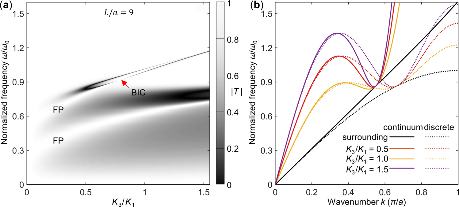
a Phonon transmission results. Parameters are \(L=9a\) and \({K}_{3}\left(x\right)/{K}_{1}=1-1/\left(1+{{\exp }}\left(2\left(x-3a/2\right)\right)\right)\) for \(0 < x < 3a\). The assumed \({K}_{3}\left(x\right)\) ensures that the two surrounding regions exhibit extremely small non-local stiffness parameters (about two orders of magnitude smaller than for the slab). b Dispersion relations for the effective-medium model (solid curves). The dashed curves correspond to the data in Fig. 3b for the discrete mass-and-spring model and can be compared directly to the effective-medium model.