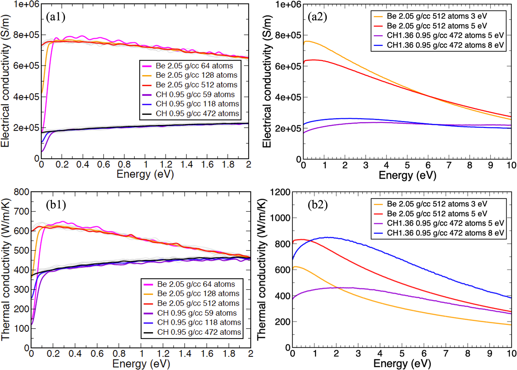
Fig. 10: Electrical and thermal conductivities from quantum molecular dynamics (QMD) calculations.

a1, a2 Electrical conductivities of Be and CH from QMD/KG. b1, b2 Thermal conductivities of Be and CH from QMD/KG. Here (a1) and (b1) were calculated for Be at a temperature of 3 eV and CH at a temperature of 5 eV. Various system sizes were used to check the convergence. Electrical and thermal conductivities for Be and CH at two different temperatures are shown in (a2), (b2).