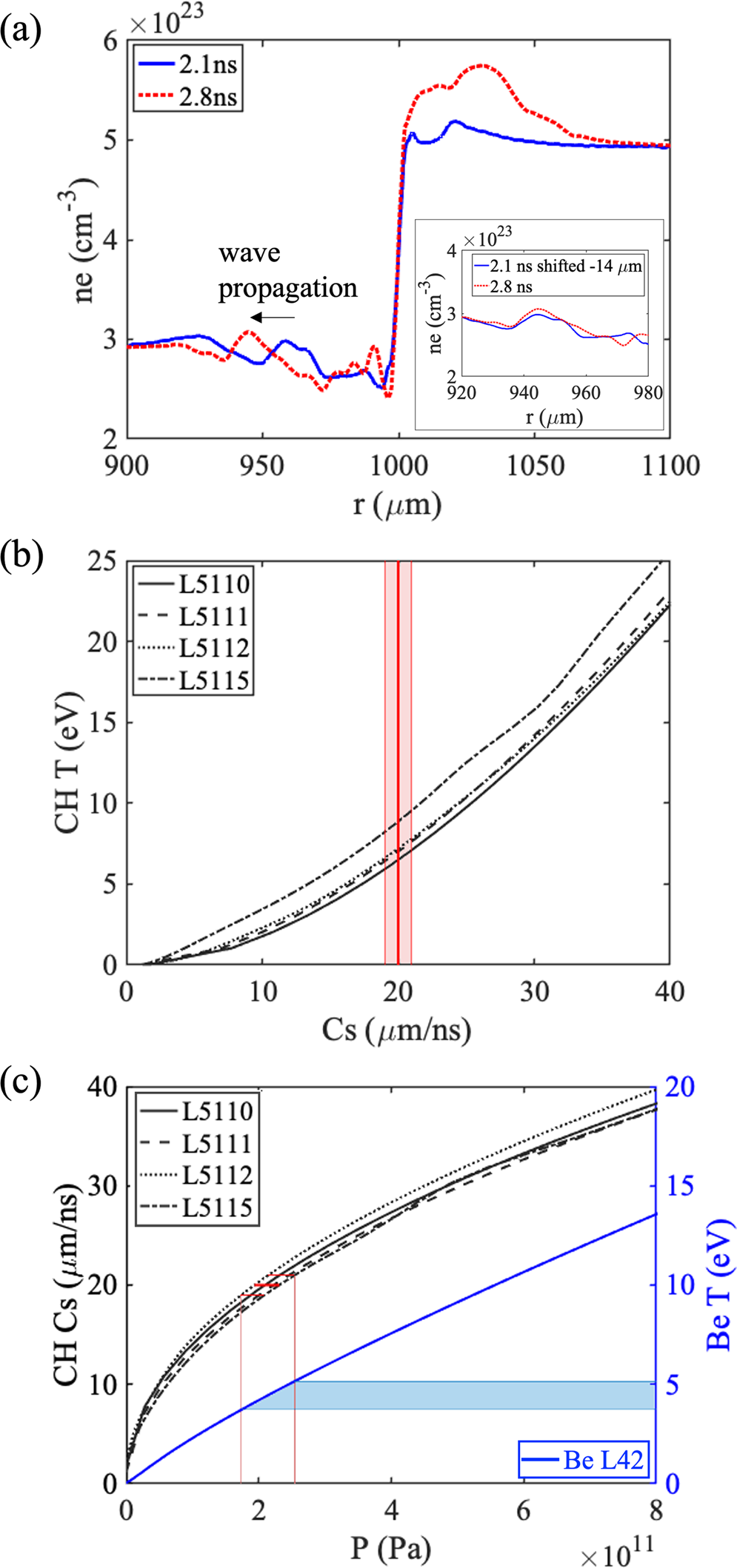
Fig. 5: Determine the temperature from the sound speed measurement.

a Electron density profile at 2.8 ns (blue curve) and 2.1 ns (red dashed curve) for measuring the sound speed in CH. The inset shows the 2.1 ns wave profile at the CH side shifted by −14 μm matches the 2.8 ns profile. b Black curves: temperature as a function of sound speed for CH from various EOS tables. Red line and shaded area: the measured sound speed with error bars. c Left y-axis: sound speed as a function of pressure for CH from various EOS tables. The horizontal red lines indicate the measured sound speed. The vertical red lines show the determined pressure range. Right y-axis: temperature as a function of pressure for Be from the L42 EOS table. The blue shaded area is the temperature range in Be when CH and Be reaches a pressure balance.