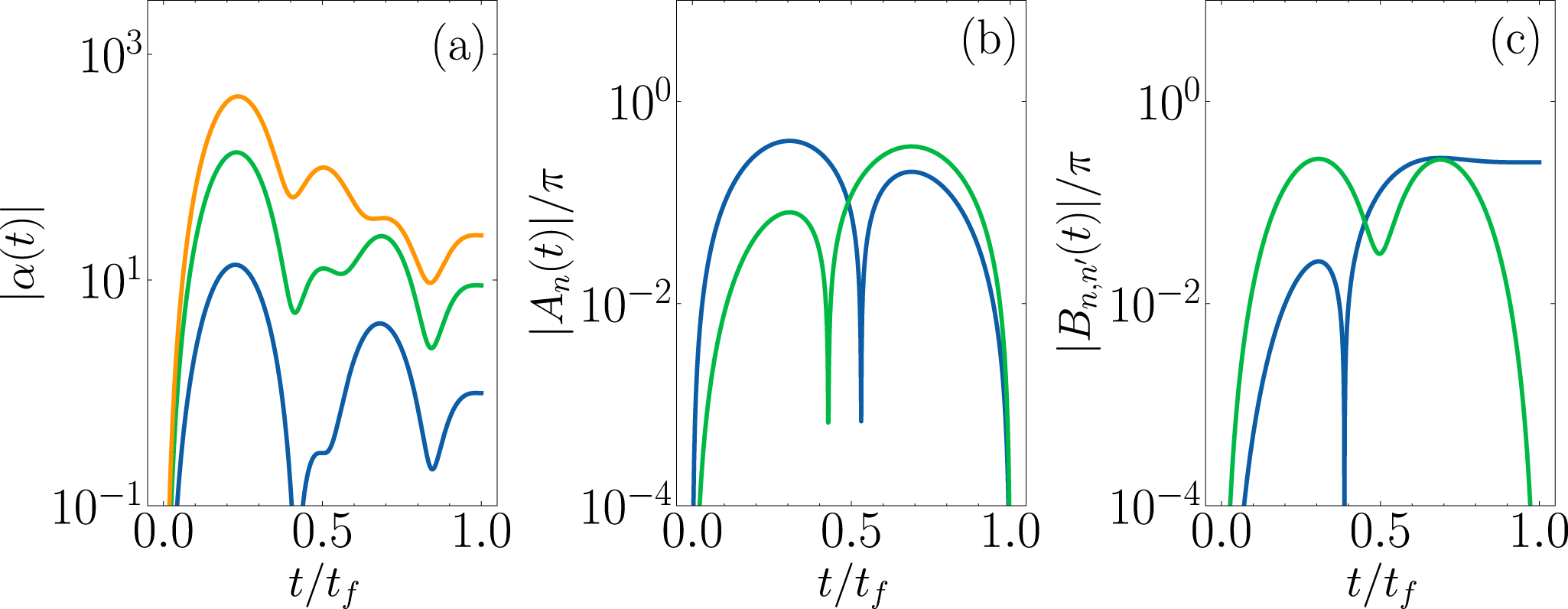
Fig. 2: Reversed enginnered modulation.
From: Shortcuts to adiabaticity in superconducting circuits for fast multi-partite state generation

Reversely engineered a absolute cavity displacement ∣α(t)∣ as a function of the dimensionless time t/tf, blue, orange and green lines correspond to the maximal cavity displacement of \({d}_{\max }=\{1,3,5\}\), respectively. b, c stands for the real (blue) and imaginary (green) parts of the reversely engineered ∣An(t)∣ and \(| {B}_{n{n}^{{\prime} }}(t)|\) coefficients, respectively. The numerical simulations are performed with the same parameters as those in Fig. 1.