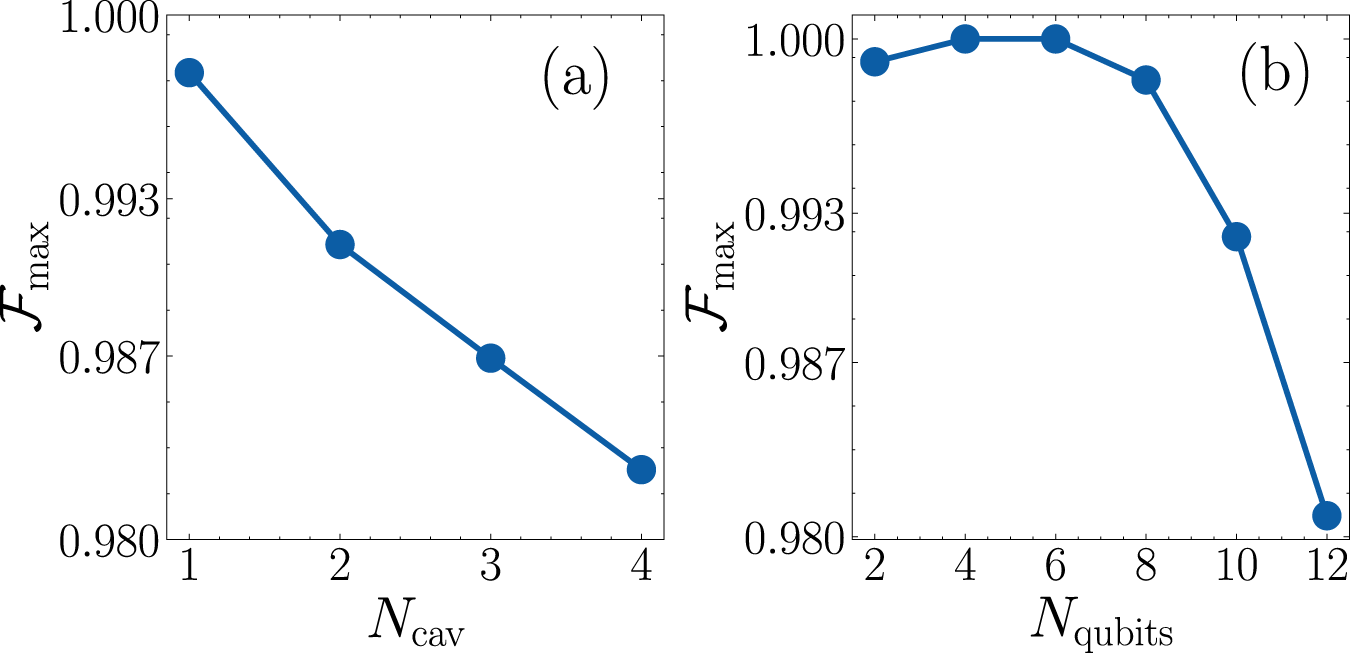
Fig. 4: Fidelity as function of the number of subsystems.
From: Shortcuts to adiabaticity in superconducting circuits for fast multi-partite state generation

Fidelity \({{{{{{{\mathcal{F}}}}}}}}\) at the shortcut to adiabaticity time tf as a function of the number of system constituents for a system corresponding to a one qubit coupled to M = {1, 2, 3, 4} field modes with maximal cavity displacement \({d}_{\max }=3\), and b one field mode coupled to N = {2, 4, 6, 8, 10, 12}, respectively. The numerical simulations are carried out with the same parameters as those in Fig. 1.