Fig. 2: Link model for satellite-to-ground QKD.
From: Finite key performance of satellite quantum key distribution under practical constraints

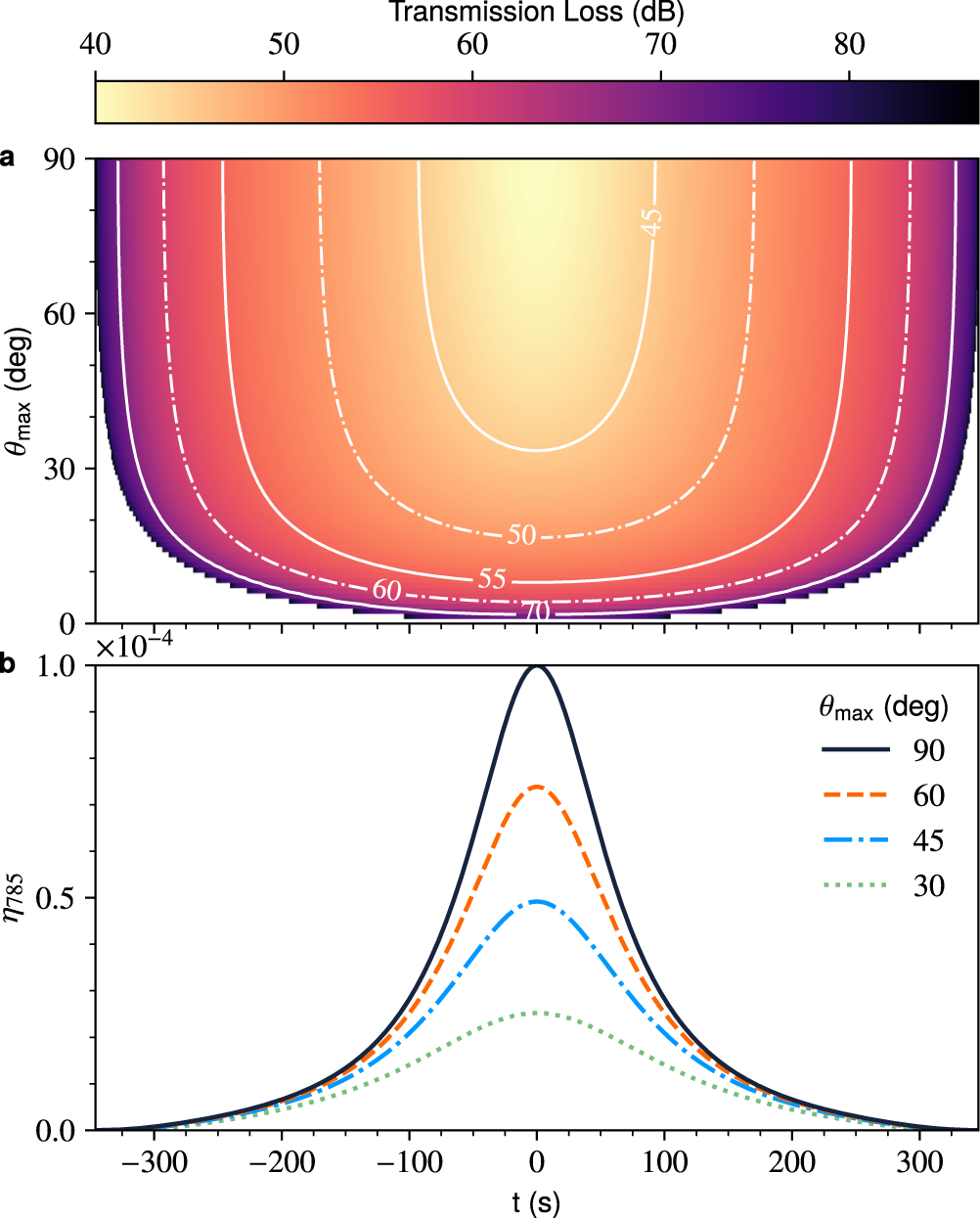
a Instantaneous link efficiency, η785 (Eq. (1)), for different satellite overpasses with maximum elevation, \({\theta }_{\max }\), and time with λ = 785 nm. The smallest transmission loss of 40 dB occurs for a zenith overpass (\({\theta }_{\max }=9{0}^{\circ }\)) at time t = 0. b η785 for specific \({\theta }_{\max }\). System parameters as in Table 1.