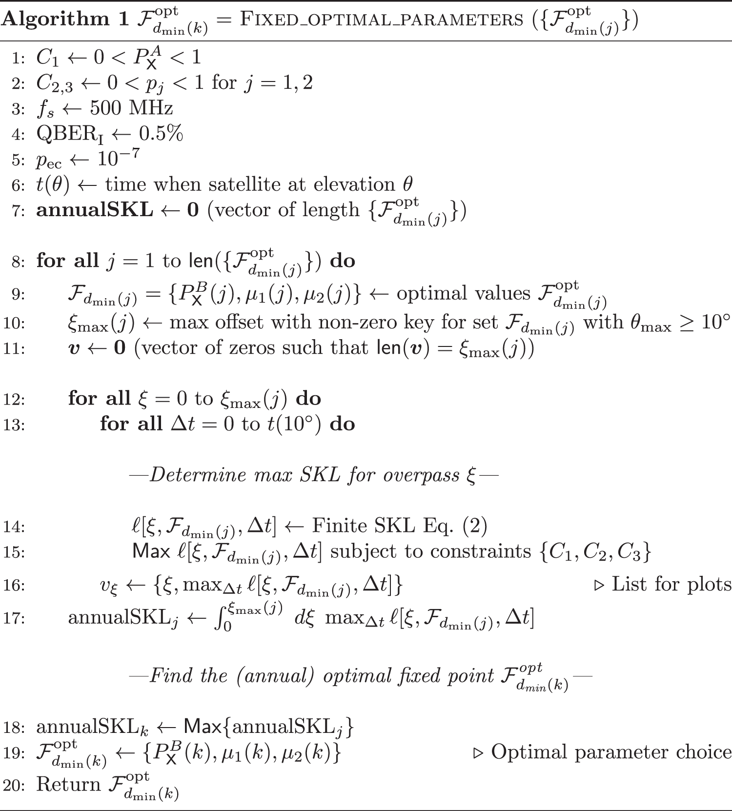
Fig. 9: Pseudocode to determine the ideal fixed parameter set.
From: Finite key performance of satellite quantum key distribution under practical constraints

We denote \({{{{{{{{\mathcal{F}}}}}}}}}_{{d}_{\min }(k)}^{{{{{{{{\rm{opt}}}}}}}}}=\{{P}_{{\mathsf{X}}}^{B}(k),{\mu }_{1}(k),{\mu }_{2}(k)\}\) as that which maximises the performance of a SatQKD system through the expected annual SKL, which is determined from the parameter set \({{{{{{{{\mathcal{F}}}}}}}}}_{{d}_{\min }(j)}^{{{{{{{{\rm{opt}}}}}}}}}\) that are sampled from the fully optimised SKL vs \({d}_{\min }\) plot. The list νξ is used to generate the plots in this work. This algorithm can be generalised to determining the ideal values for any fixed parameter set.