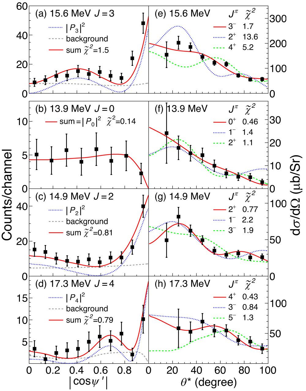
Fig. 4: Angular correlation and differential cross section spectra.

a–d: Experimental angular correlation spectra (black squares) for the 15.6, 13.9, 14.9, and 17.3 MeV states, each compared with the sum (red-solid line) of a Legendre polynomial \(| {P}_{J}(\cos {\psi }^{{\prime} }){| }^{2}\) of order J = 3, 0, 2, or 4 (blue-dotted line), respectively, and a constant background (gray-dashed line). e–h show the corresponding differential cross sections (black squares), fitted with distorted-Wave Born Approximation (DWBA) calculations under different spin-parity assumptions (lines). All curves have been corrected by simulated efficiencies and resolutions. The error bars show the statistical uncertainties (one standard deviation). The corresponding reduced \({\widetilde{\chi }}^{2}\) are also indicated.