Fig. 2: Emergence of secondary VHSs.
From: Investigating the Cuprates as a platform for high-order Van Hove singularities and flat-band physics

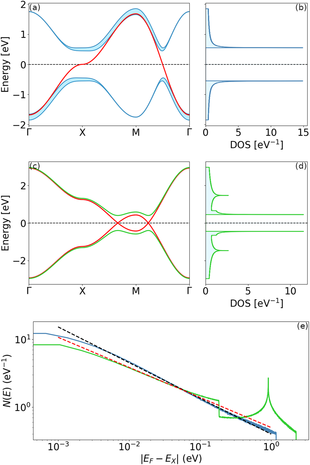
a (π, π) Antiferromagnetic Hubbard model \(({t}^{{\prime} }={t}^{{\prime\prime} }=0)\) at half-filling with bare dispersion (red line) and gapped dispersion with mean-field gap parameter Δ = 0.5 eV (blue curves). The width of the blue curve indicates spectral intensity. b The associated density-of-states (DOS) N(E). c Excitonic insulator model with bare dispersion (red line) and gapped dispersion with mean-field gap parameter Δ = 0.4 eV (green curves) and d the resulting DOS. e Panels (b) and (d) are replotted on a ln–ln scale to show the high-order Van Hove singularities (VHSs). The dashed black and red lines provide the reference slopes of −0.54 and −1/2, respectively.