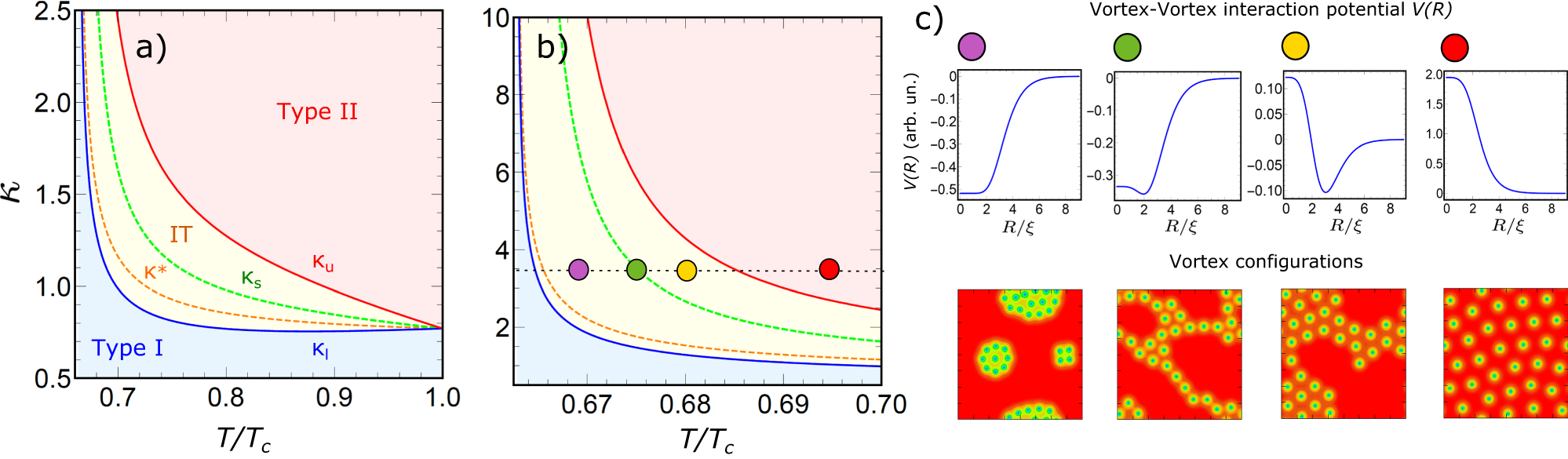
Fig. 1: Intertype (IT) domain in the κ-T phase diagram, with κ the Ginzburg-Landau parameter and T the temperature.
From: Intertype superconductivity in ferromagnetic superconductors

a, b show the upper κu and lower κl boundaries of the IT domain for a ferromagnetic superconductor with the s-wave pairing and the Curie temperature smaller than the superconducting one. κ* separates types I and II in the GL theory, κs is the line of the zero surface tension of a normal-superconducting domain wall. Panel c illustrates examples of the pairwise vortex interaction potential V(R) as a function of the intervortex distance R/ξ (with ξ the Ginzburg-Landau coherence length) together with the corresponding vortex configurations at low magnetic fields (red - Meissner domains, green - vortices) for different points on the phase diagram marked by colored circles.