Fig. 3: Anisotropic delay function.
From: Inertial self-propelled particles in anisotropic environments

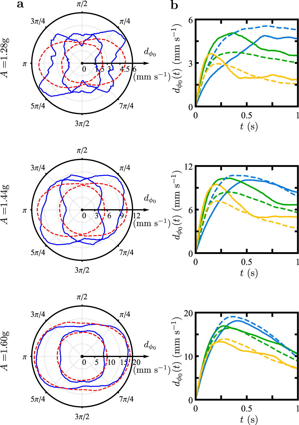
a The anisotropic delay function \({d}_{{\phi }_{0}}(t)\) plotted as function of the initial orientation ϕ0 after fixed times t = 0.1 s, t = 0.4 s. Solid blue and dashed red curves show the experimental and simulated data, respectively. b The anisotropic delay function \({d}_{{\phi }_{0}}(t)\) plotted as a function time t for parallel ϕ0 = 0 (cyan), diagonal ϕ0 = π/4 (green), and perpendicular ϕ0 = π/2 (yellow) orientations, each. Both for excitation amplitude A = 1.28 g (upper row), A = 1.44 g (middle row) and A = 1.60 g (lower row). Solid and dashed curves correspond to the experimental and simulated data (using the parameter values given in Table 1), respectively.