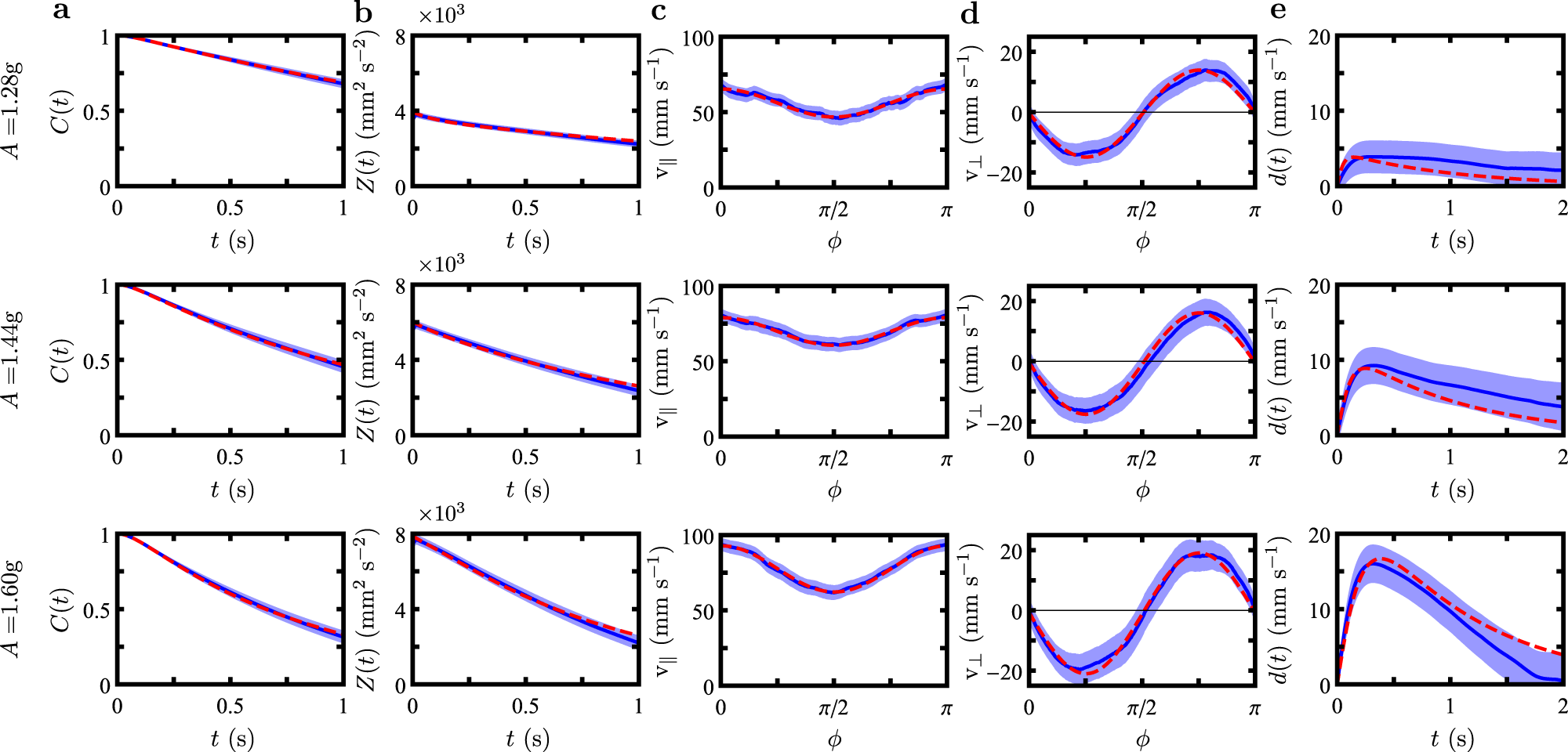
Fig. 8: Determination of model parameters.
From: Inertial self-propelled particles in anisotropic environments

a Orientational correlation function C(t), (b) velocity correlation function Z(t), (c) stationary parallel velocity v∥ (d) stationary perpendicular velocity v⊥. Solid dark blue and dashed red curves show the experimental data and analytical results, respectively. Experimental error intervals represent the standard error of the mean. The parameter values are listed in Table 1. e Time-dependence of the delay function d(t) validating the parameters on an independent quantity. The different vibration amplitudes are A = 1.28 g (upper row), A = 1.44 g (middle row), and A = 1.60 g (lower row).