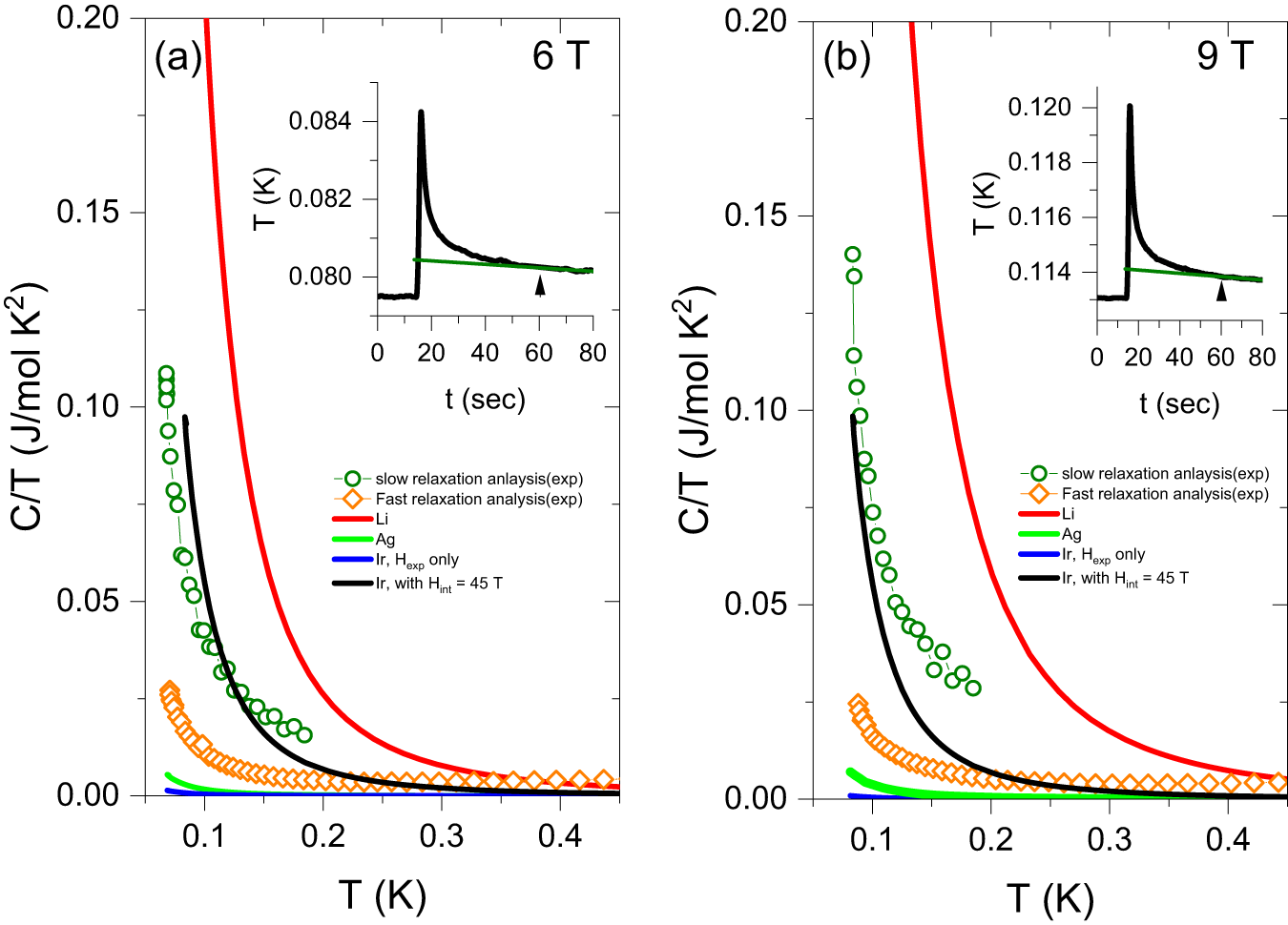
Fig. 7: Finite-field specific heat vs. temperature from temperature trace.
From: Signatures of a Majorana-Fermi surface in the Kitaev magnet Ag3LiIr2O6

Specific heat C divided by temperature T obtained from the short time (orange diamonds) and long time (olive circles) parts of the temperature traces in a 6 T and b 9 T external field. Schottky anomalies for each nuclei (Li, Ag, Ir) in an externally applied magnetic field only are shown by red, green, and blue curves, respectively. Solid black lines represent model calculation of the Schottky anomaly due to Ir nuclei with randomly distributed internal magnetic field (\({H}_{tot}=\frac{1}{2\pi }\int\nolimits_{0}^{2\pi }d\theta \sqrt{{({H}_{int}\cos (\theta ))}^{2}+{({H}_{int}\sin \theta +{H}_{ext})}^{2}}\) due to the polycrystalline nature of the sample, as described in the text. Inset shows an example of the linear analysis of temperature trace in the range of 60−80 sec. The missing Li nuclei Schottky anomaly in the data is likely due to the very slow relaxation of the Li nuclei spins, similar to that reported for H3LiIr2O6 by ref. 68.