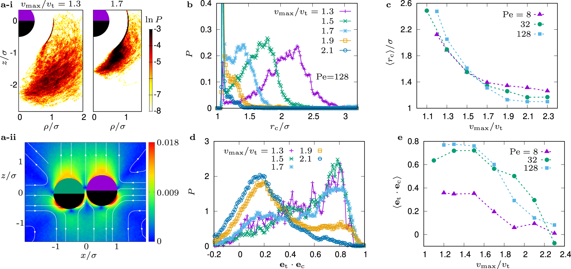
Fig. 4: Pusher cooperative swimming by propulsion-direction alignment and speed adaption.
From: Hydrodynamic pursuit by cognitive self-steering microswimmers

a-i Probability distribution of the pursuer position in cylindrical coordinates. The target is located at the origin of the reference frame. a-ii Flow field of the pusher pair for \({v}_{\max }/{v}_{{{{{{{{\rm{t}}}}}}}}}=2.3\). b Probability distribution of the pursuer-target distance for the indicated speed ratios, where \({v}_{\max }\) is the maximum of the adjustable pursuer speed. c Mean pursuer-target distance as a function of the maximum speed \({v}_{\max }\) and Pe = 8 (purple triangles), 32 (green bullets), 128 (blue squares). d Probability distribution of et ⋅ ec for various \({v}_{\max }\). e Order parameter 〈et ⋅ ec〉 as function of \({v}_{\max }\) for Pe = 8 (purple triangles), 32 (green bullets), and 128 (blue squares). Here, Ω = 75.9 and κ = 1 in all cases, and Pe = 128 in (a, b, d).