Fig. 5: Pusher cooperative swimming by propulsion-direction alignment and speed adaption.
From: Hydrodynamic pursuit by cognitive self-steering microswimmers

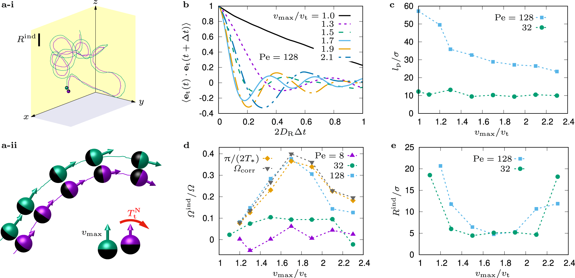
a Emergence of cooperative circular motion. a-i Example trajectory, where the vertical black bar represents the radius of induced circular motion (Fig. 5e). a-ii Illustration of curvilinear trajectories induced by the torque \({\bf T}_{{{{{{{{\rm{t}}}}}}}}}^{{{{{{{{\rm{N}}}}}}}}}\) (red arrow, bottom-right) of the pursuer (petrol) with \({v}_{\max }\) exerted on the target (purple). The pursuer is behind the target. b Temporal autocorrelation function of the target propulsion direction et as a function of the lag-time Δt, for Pe = 128 and various \({v}_{\max }\), where DR is the rotational diffusion coefficient of an individual squirmer. c Persistence length lp obtained from the characteristic short-time decay of the velocity autocorrelation function. Here, the function \(\exp (-\Delta t/\tau )\cos ({{\Omega }}_{{{{{{{{\rm{corr}}}}}}}}}\Delta t)\) with the persistence time τ and the angular frequency Ωcorr is fitted to the data at short times 〈et(t) ⋅ et(t + Δt)〉 < 1/e (see Supplementary Note 3, Sec. S-IVC and Fig. S8), from which lp is obtained as lp = vtτ. d Induced rotational frequency \({{\Omega }}_{{{{{{{{\rm{t}}}}}}}}}^{{{{{{{{\rm{ind}}}}}}}}}\), obtained from Eq. (6) as a function of \({v}_{\max }\) for various Péclet numbers as indicated (purple, green, and blue symbols), as well as extracted from the velocity autocorrelation functions in b. For the latter, the first zero (T*) of the velocity autocorrelation function (dark yellow symbols), and Ωcorr of the initial decay obtained from the fitting for the persistence length in c (gray symbols) are employed to determine the rotational frequency. e Radii of induced circular motion determined from Rind = vt/Ωind. In all cases, Ω = 75.9 and κ = 1.