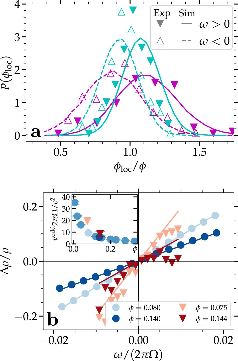
Fig. 4: Vorticity–density correlations.
From: Simultaneous emergence of active turbulence and odd viscosity in a colloidal chiral active system

a Normalized probability distribution of the local packing fraction ϕloc of the areas with positive vorticity (solid lines and solid symbols) and negative vorticity (dashed lines and open symbols). Lines correspond to simulation results and symbols to experimental ones. Results for lower volume fraction are shown in magenta (experiments ϕ = 0.075 and simulations ϕ = 0.08). Higher volume fraction results are shown in cyan (experiments ϕ = 0.144 and simulations ϕ = 0.14). b Normalized variation of the local rotor mass density ρ as a function of the local vorticity ω. The lines indicate least-squares fits according to Eq. (1) with which νodd can be determined. Averages made with tav = 1.2 × 104 and nav = 1, and experiments with tav = 1 and nav = 5, nav = 6 for ϕ = 0.075 and ϕ = 0.144, respectively. The inset shows the estimates for the normalized odd viscosity as a function of the density for experiments (red symbols) and simulations (blue symbols), error bars are the standard deviation of the least-squares fit.