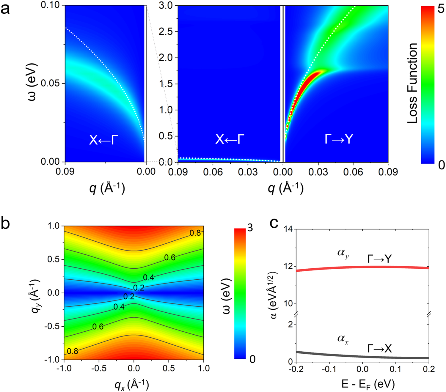
Fig. 3: The plasmonic properties of RuOCl2 monolayer.

a The electron energy loss spectrum (EELS) along the Γ-X and Γ-Y direction. The plasmon dispersions calculated by Eq. (5) are represented by white solid lines. The enlarged view of the plasmons dispersion along the Γ-X is presented in the left panel. b The isofrequency curves of the plasmon dispersion of RuOCl2 monolayer. c The variation of α along the Γ-X and Γ-Y direction as a function of energy relative to the Fermi level at qy = 0.0034 Å−1.