Fig. 2: Behaviour of entanglement negativity in time and space.
From: Measuring out quasi-local integrals of motion from entanglement

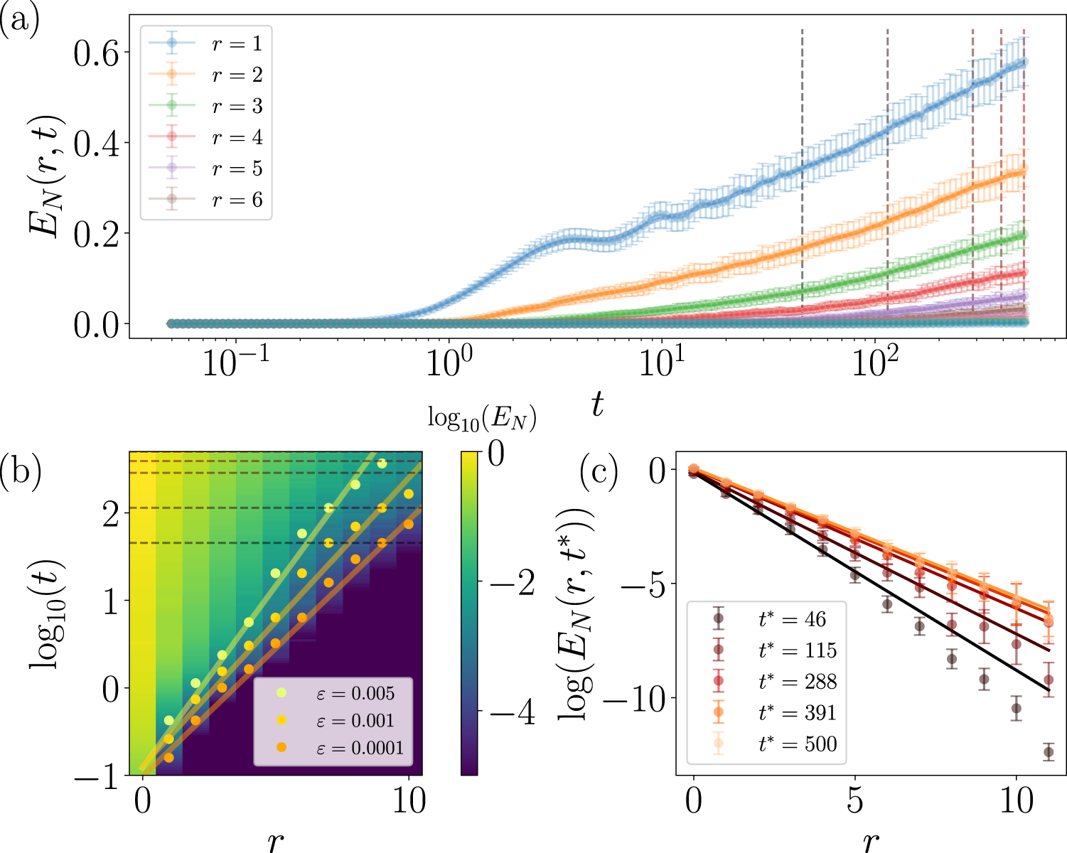
Results showing the growth of the negativity EN(r, t) with time for different distances r. Data is shown for a system size L = 24 and a disorder strength d = 8.0, averaged over Ns = 100 disorder realisations. a The dynamics of EN(r, t) following a quench from a Néel state, showing the logarithmic growth at late times. The circular markers are the raw data points, while the solid lines are a smoothed guide to the eye. The error bars indicate the standard error in the mean. We note that these error bars show agreement on average between the various disorder realizations, but they are not fully statistically independent errors, as would be expected in an experiment where each data point would come from a different run. b The full dynamics of EN(r, t), reflecting the logarithmic `light cone'. Each circle maps the point where the negativity grows beyond the corresponding threshold ε and the lines are linear fits. c By extracting the behaviour of \({E}_{N}(r,{t}^{* })\propto \exp (-r/\xi )\) at fixed times t* [dashed vertical lines in a, horizontal lines in b], we can extract a well-defined length scale ξ(t), which depends only weakly on time. The solid lines indicate the fits to the data points which are used to extract the l-bit length scale, demonstrating convergence at late times.