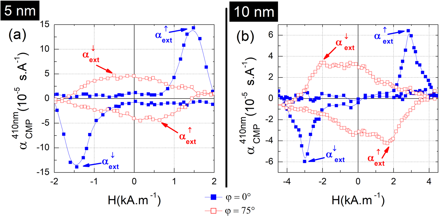
Fig. 2: Magnetic field dependencies of converse magneto-photostrictive coupling coefficients.

The converse magneto-photostrictive coupling coefficient, \({\alpha }_{{{{{{{{\rm{CMP}}}}}}}}}^{410\,{{{{{{{\rm{nm}}}}}}}}}\), along φ = 0∘ (filled-in blue squares) and φ = 75∘ (red squares), as estimated from the magnetization M versus magnetic field H data presented in Fig. 1 for the 5 nm (a) and 10 nm (b) samples. For a given angle, \({\alpha }_{{{{{{{{\rm{ext}}}}}}}}}^{\downarrow }\) is the converse magneto-photostrictive coupling coefficient extremum value when H decreases. For a given angle, \({\alpha }_{{{{{{{{\rm{ext}}}}}}}}}^{\uparrow }\) is the converse magneto-photostrictive coupling coefficient extremum value when H increases. φ is the angle between the applied magnetic field H and the [100] direction of the substrate.