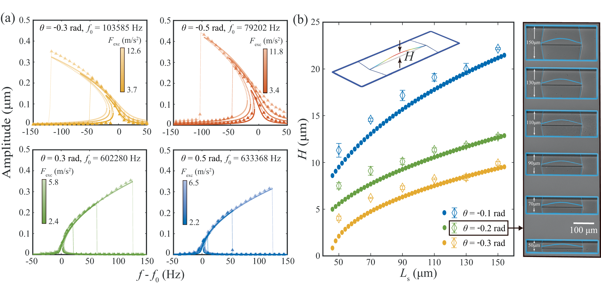
Fig. 3: Influence of support angle θ on the geometric nonlinearity.
From: Strain engineering of nonlinear nanoresonators from hardening to softening

a Finite element (FE) based (bold lines) and experimentally measured (triangles) frequency response curves of resonators with ws = 1 μm and Ls = 150 μm, showcasing the shifting between hardening and softening induced by the support angle θ. The solid parts of bold lines represent the stable branch of the simulated response, while the dotted parts are unstable. The legends show the mass-normalized drive level. The fitted β values for θ = (−0.3, −0.5)rad are β = (−0.56, −0.27) × 1022 m−2 s−2. For θ = (0.3, 0.5)rad, the Duffing constant β = (7.00, 9.01) × 1022 m−2 s−2. b Finite element (FE) based results (dots) and measurements (diamonds) of the buckling induced static displacement height H of the string at its center with ws = 1 μm for different support angles θ and lengths Ls. The inset shows the SEM image, colored in blue, of an array of buckled string resonators with ws = 1 μm, θ = −0.2 rad, and different Ls from 150 μm to 50 μm.