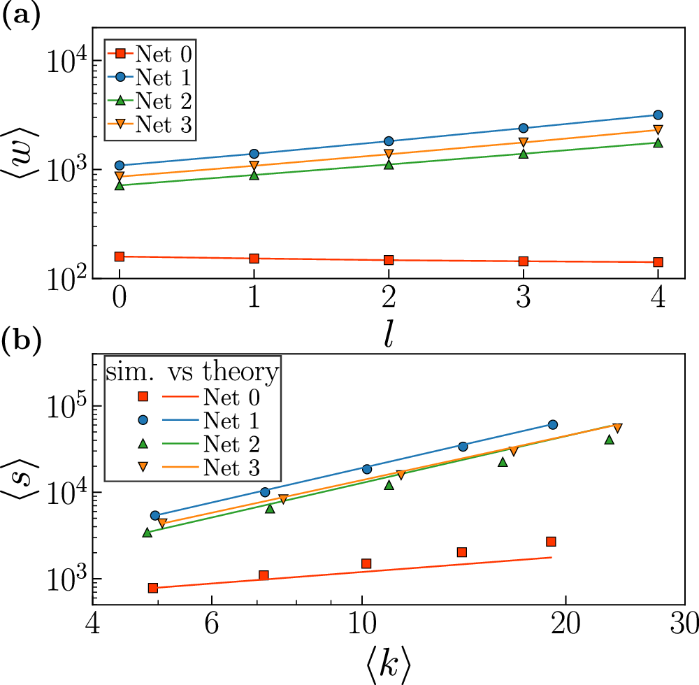
Fig. 3: Analytic approximation vs. simulations.

a Unrescaled average weight for different layers l. b Average strength, 〈s〉 as a function of average degree 〈k〉, in which symbols are the simulated results and lines indicate the corresponding theoretical analysis from Eq. (5). The synthetic networks are generated with γ = 2.7, β = 1.5, α = 0.4 and η = 1.2 for Net 0; γ = 2.7, β = 1.5, α = 0.4 and η = 1.8 for Net 1; γ = 2.2, β = 2.0, α = 0.4 and η = 1.5 for Net 2; γ = 2.2, β = 2.0, α = 0.6 and η = 1.5 for Net 3. The other parameters are fixed as N = 64,000, 〈k〉 = 5, a = 100 and 〈ϵ2〉 = 1.0. Error bars representing the standard error of the estimated averages are smaller than the symbol size.