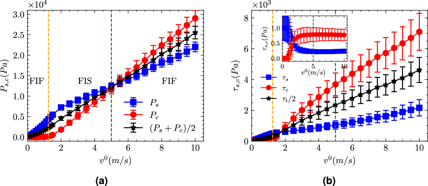
Fig. 2: Pressure and shear stress close to the exit.
From: Rheology of a crowd: from faster-is-slower to shear thickening

For the exit width b = 3.00Dm: a Plot of time-averaged contact and social pressure Pc (red circles) and Ps (blue squares), respectively, as a function of the desired velocity v0. As a reference, the total pressure contribution divided by two is plotted (black stars), showing a monotonic linear increase with v0. b Plot of time-averaged the deviatoric part of the contact and social stress τc (red circles) and τs (blue squares), respectively, as a function of the desired velocity v0. The total deviatoric part of the stress is shown as a reference (black stars). Inset: the fraction of shear stress from the social interaction, τs/τt (blue squares), or from the contact, τc/τt (red circles). In both a and b, including the inset, orange and green lines have been included to distinguish the faster-is-faster (FIF) from faster-is-slower (FIS) behavior. Error bars depict the standard deviation values.