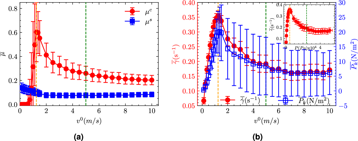
Fig. 3: Friction and shear rate behavior near the exit.
From: Rheology of a crowd: from faster-is-slower to shear thickening

a Spatial- and time-averaged contact (red circles) and social friction (blue squares) parameters (\({\overline{\mu }}^{{\rm {c}}}\) and \({\overline{\mu }}^{{\rm {s}}}\)) as a function of the desired velocity v0. b Spatial and time-averaged \(\overline{\dot{\gamma }}\) (red-colored circles, left y-axis) and kinetic pressure \({\overline{P}}_{{\rm {k}}}\) (blue-colored squares, right y-axis) as a function of the desired velocity v0. The inset displays \(\overline{\dot{\gamma }}\) against the total pressure P averaged in the area of interest. In both a and b, including the inset, the considered case is b = 3Dm, and orange and green lines have been included to distinguish the faster-is-faster (FIF) from faster-is-slower (FIS) behavior. Standard deviation values are illustrated via error bars.