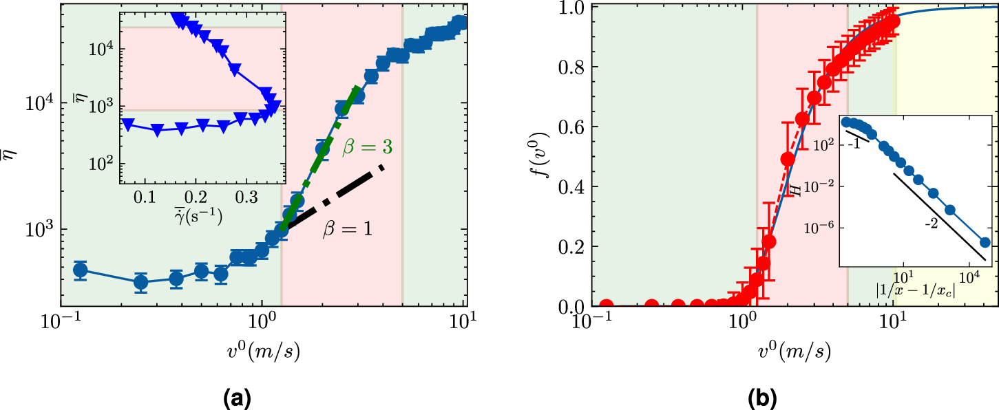
Fig. 4: Viscosity and frictional contact fraction increase as a function of the desired velocity.
From: Rheology of a crowd: from faster-is-slower to shear thickening

a Spatial and time-averaged viscosity η as a function of the desired velocity v0. The slopes β = 1 and β = 3 have been included as guides for the eye. β characterizes the exponent in the relationship η ~ Pβ, here P ~ v0. Thus, β = 1 implies an invariable shear rate with the increase of P; and β > 1 implies a multivalued dependency \(\eta (\dot{\gamma })\) as is obtained in this case, assuming \(\dot{\gamma } \sim P/\eta\). The inset depicts the multivalued dependency \(\eta (\dot{\gamma })\). (b) Spatial and time-averaged fraction of frictional contacts as a function of the desired velocity v0, f(v0). The function \(f({v}^{0})=\exp \{-{({v}_{{\rm {c}}}^{0}/{v}^{0})}^{\beta }\}\) is plotted, showing a good agreement with the numerical data. The critical desired velocity \({v}_{{\rm {c}}}^{0}=1.85\) m/s and the exponent β = 2. The inset displays the function \({{{{{{{\mathcal{H}}}}}}}}=\eta f{(p)}^{2}\) versus ∣1/xc−1/x∣; the black lines stand for exponents −1 and −2 as annotated. All cases correspond to b = 3Dm, and shadowed red and green areas have been included to distinguish the faster-is-faster (FIF) from faster-is-slower (FIS) behavior. In the specific case of b, an additional yellow-colored range is plotted exclusively to depict the shape of f(v0) at larger v0 values. Error bars stand for the 95% confidence interval and are not shown when they are less minor than the marker size.