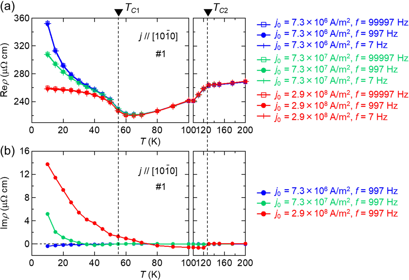
Fig. 3: Nonlinear behavior of resistivity.
From: Enhanced emergent electromagnetic inductance in Tb5Sb3 due to highly disordered helimagnetism

Temperature dependence of the (a) real part and (b) imaginary part of ac resistivity with various current densities and frequencies. The color in the curves in (a) and (b) represents individual current density j0, while the shape of the markers in (a) distinguish frequency f. In the present device size, Im ρ = 10 μΩ cm corresponds to L = 14 μH. Transition temperatures (TC1, TC2) are determined from magnetization curve as shown in Fig. 1b.