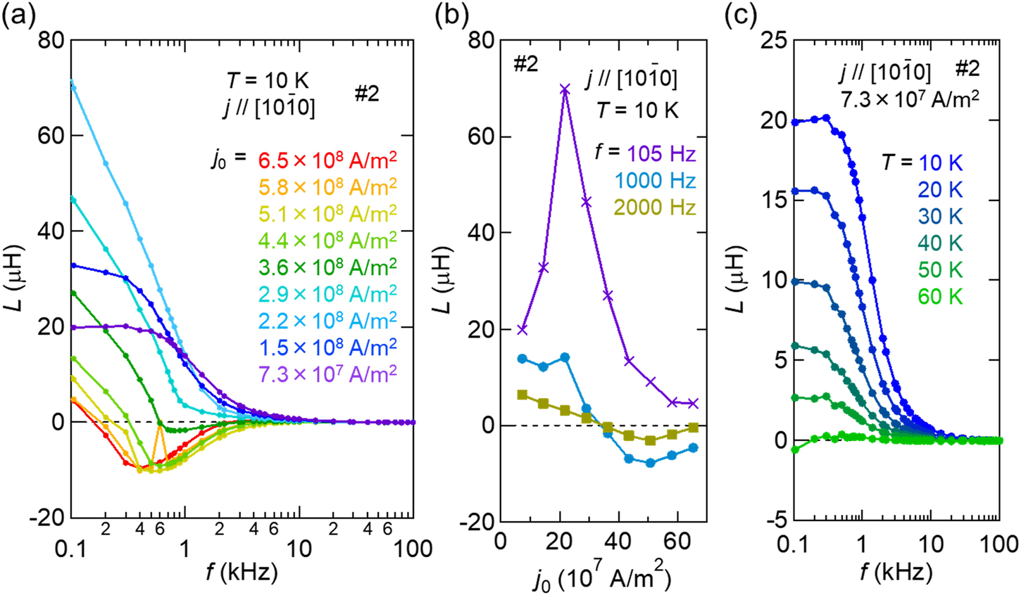
Fig. 4: Emergent inductance.
From: Enhanced emergent electromagnetic inductance in Tb5Sb3 due to highly disordered helimagnetism

a Frequency dependence of the emergent inductance at T = 10 K with various current densities. b Current density dependence of the inductance at f = 105, 1000, 2000 Hz. c Frequency dependence of the inductance at various temperatures from T = 10 K to 60 K and at a relatively weak current excitation, j0 = 7.3×107 A/m2.