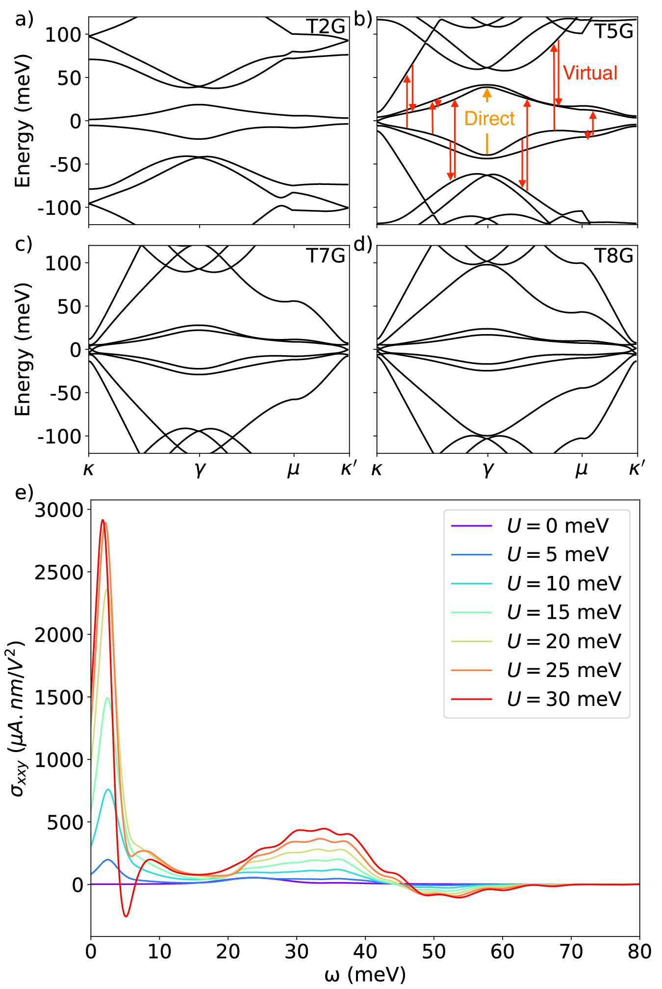
Fig. 1: Bandstructure of T2G, T5G, T7G, T8G, and shift current conductivity of T5G with varying external displacement field strength.
From: Enhancing shift current response via virtual multiband transitions

Here TNG denotes the bandstructure of an N-layer TMG. a–d Bandstructure of TMG system with external displacement field strength U = 20 meV at physical twist angles θ = 0.8∘, 1.32∘, 1.63∘, 1.71∘ for N = 2, 5, 7, 8, respectively. e Shift current conductivity for T5G at θ = 1.32∘ with varying external displacement field strength. The result of increased external displacement field leads to band mixing, which leads to enhancement of shift current via virtual transition as well as a new peak at low frequency. Non-vanishing signal as ω → 0 in this figure is a consequence of finite Lorentzian broadening (See Supplementary Note 10 for more details).