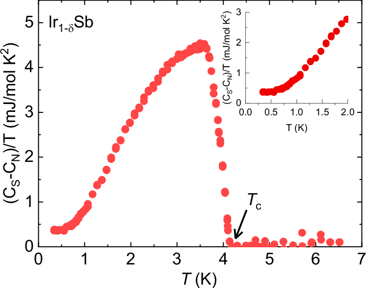
Fig. 4: Specific heat.

Temperature evolution of the electronic part of specific heat for the Ir1−δSb, synthesized at 5.5 GPa. The inset shows a zoomed-out version of the low-temperature points, clearly displaying the saturation.

Temperature evolution of the electronic part of specific heat for the Ir1−δSb, synthesized at 5.5 GPa. The inset shows a zoomed-out version of the low-temperature points, clearly displaying the saturation.