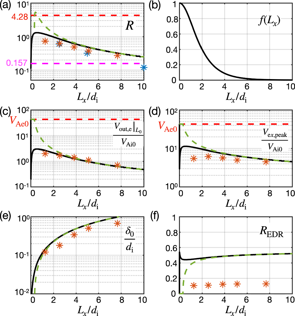
Fig. 5: Predictions as a function of the system size Lx.
From: An analytical model of “Electron-Only” magnetic reconnection rates

a The normalized reconnection rate. b The profile f(Lx) = sech(Lx/1.28di) used for the black solid curves in other panels. c The limiting speed of flux transport. d The peak electron outflow speed. e The exhaust half-thickness. f The rate normalized to the electron diffusion region (EDR) quantities. The predictions with f(Lx) in (b) are shown as the black solid curves, while the green dashed curves have f = 0. Orange symbols are from the PIC simulations carried out in this paper. In (a), the blue symbols are from ref. 6. For comparison, the rough prediction from Eq. (1) is marked by the red dashed horizontal line, and R = 0.157 predicted for ion-coupled standard reconnection35 as the magenta dashed horizontal line. In (c) and (d), the maximum plausible electron outflow value, VAe0, is marked as red horizontal dashed lines.