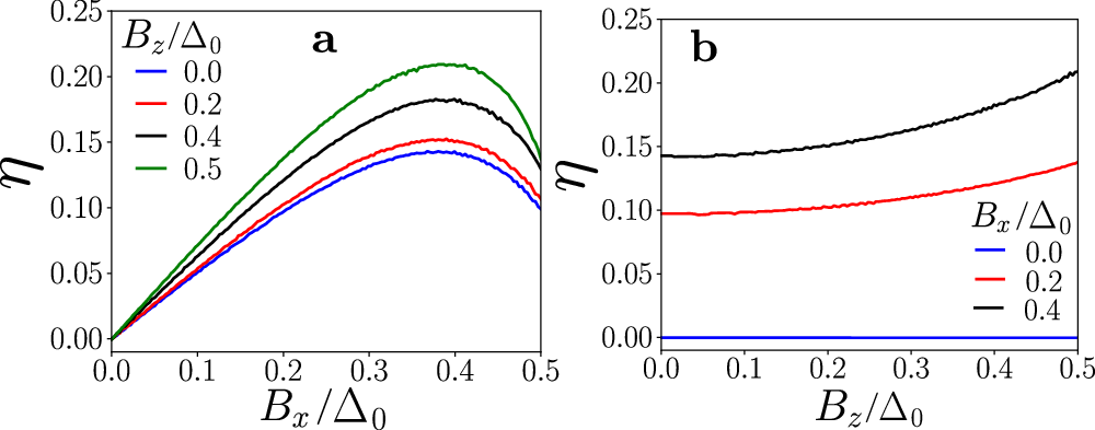
Fig. 8: Diode efficiency for the case δ ≠ 0, γ = 0.

The diode efficiency (η) with linear SOC and with cubic SOC of different type where δ = 10 eV nm3 but γ = 0 as a function of Bx (with fixed Bz) and Bz (with fixed Bx) are shown in a and b respectively. Other parameters are: (α, μ/Δ0, By, β−1)=(100 meV-nm, 0.5, 0, 0.1 meV).