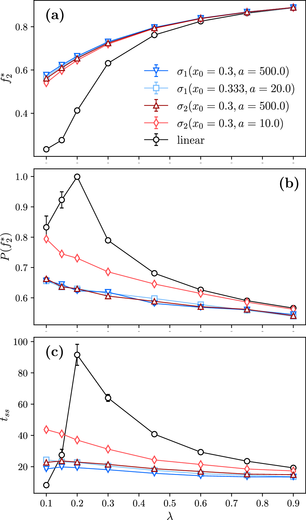
Fig. 2: Comparison between linear and non-linear cross-inhibition responses in a binary-decision problem.
From: Non-linear inhibitory responses enhance performance in collective decision-making

a Occupation fraction for the best-quality site, \({f}_{2}^{* }\). b Probability of reaching the best option, \(P({f}_{2}^{* })\). c Time to settle into the stationary state, tss. Other model parameters are π1 = π2 = 0.1, q1 = 9, q2 = 10, and \({\lambda }^{{\prime} }=1\), for a system of size N = 1000. Error bars indicate the standard error of the mean.