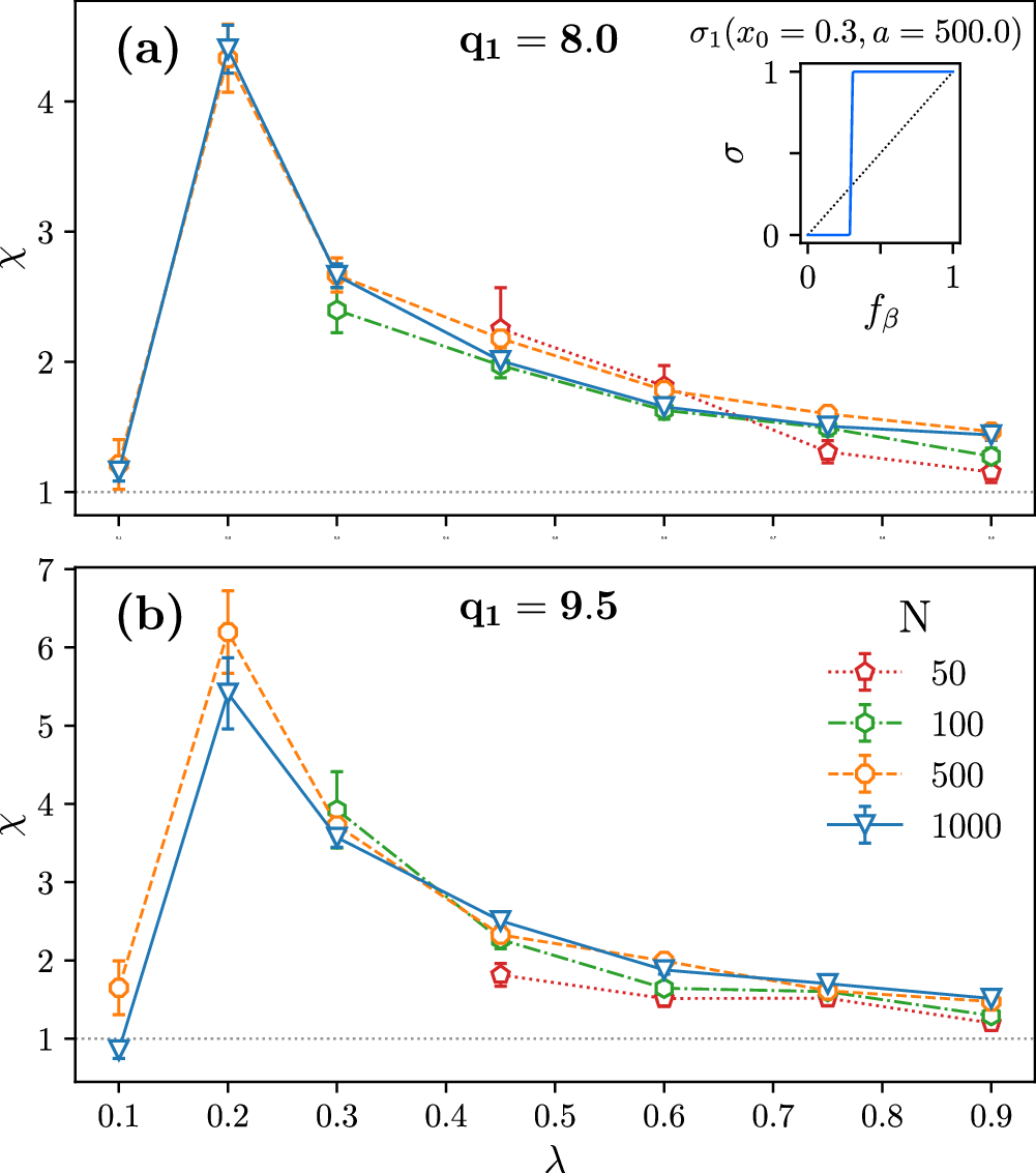
Fig. 4: Performance of a non-linear cross-inhibition response with varying system size.
From: Non-linear inhibitory responses enhance performance in collective decision-making

Performance ratio χ of the sharp sigmoid non-linear cross-inhibition response σ1(x0 = 0.3, a = 500) on increasing interdependence λ for different system sizes N. Other model parameters are \({\pi }_{1}={\pi }_{2}=0.1,{\lambda }^{{\prime} }=1,{q}_{2}=10\), and q1 = 8 (a) and q1 = 9.5 (b), as indicated in each plot. Error bars indicate the propagated standard error of the mean. The inset in a shows the non-linear cross-inhibition function used, indicating the cross-inhibition strength σ as a function of the inhibiting population fβ.