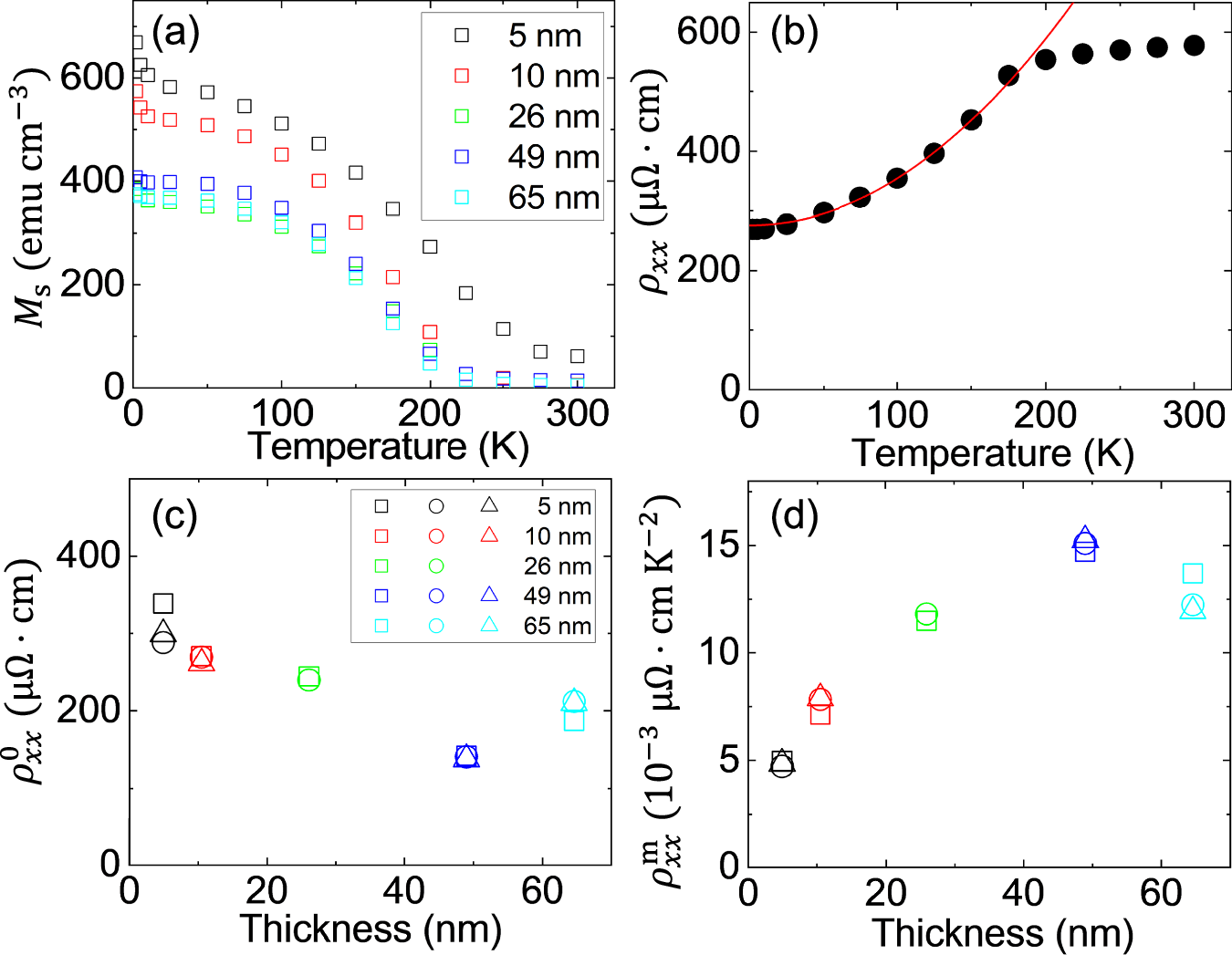
Fig. 2: Saturation magnetization and longitudinal resistivity.
From: Significant electron-magnon scattering in layered ferromagnet Cr2Te3

a Temperature T dependence of the saturation magnetization Ms for films with different thicknesses. b Longitudinal resistivity ρxx of a 10 nm-thick Cr2Te3 film plotted against T. The solid red line shows fit to the data using Eq. (1) in the appropriate temperature range. Film thickness dependence of the impurity scattering coefficient \({\rho }_{xx}^{0}\) (c) and the electron-magnon scattering coefficient \({\rho }_{xx}^{{{\rm{m}}}}\) (d). For a given film thickness, results from a few devices are presented using different symbols. Definition of the symbols are the same for (c, d): see the legend shown in (c).