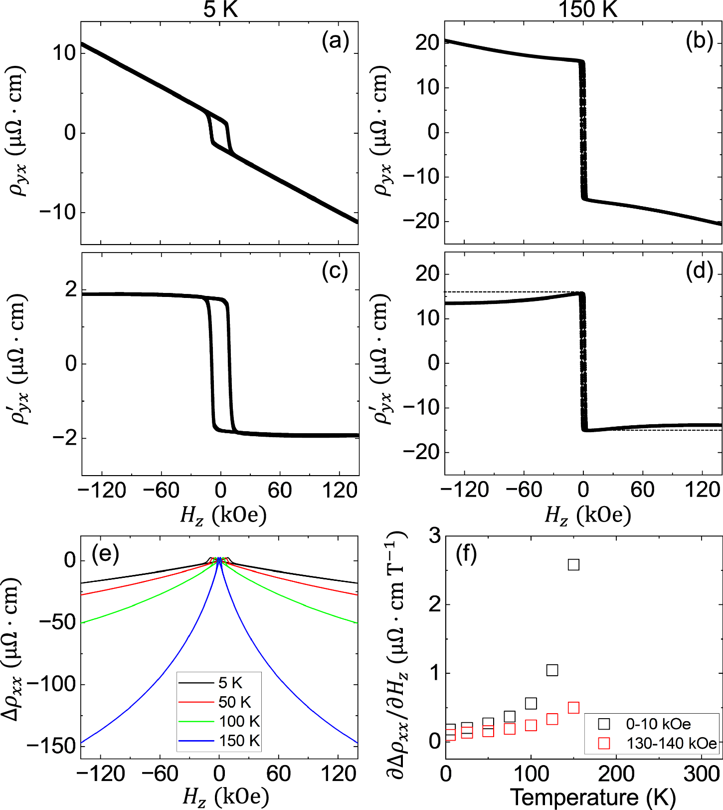
Fig. 5: High field longitudinal and transverse resistivities.
From: Significant electron-magnon scattering in layered ferromagnet Cr2Te3

Transverse resistivity ρyx vs. out-of-plane magnetic field Hz measured at 5 K (a) and 150 K (b) for a 65 nm-thick film. (c, d) Hz dependence of the linear background-subtracted transverse resistivity \({\rho }_{yx}^{{\prime} }\). The background is determined by fitting the data in the field range of 130–140 kOe with a linear function. The horizontal dotted line in (d) is a guide to the eye. e Hz dependence of the magnetoresistance Δρxx of a 65 nm sample measured up to 140 kOe. f The slope ∂Δρxx/∂Hz of the linear line fitted to Δρxx vs. Hz in field ranges 0–10 kOe (black squares) and 130–140 kOe (red circles) are plotted as a function of temperature.