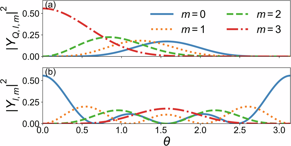
Fig. 1: Single-particle density distributions within a flat band.
From: Flat bands on a spherical surface from Landau levels to giant-quantum-number orbitals

a The square modulus of the monopole harmonics YQ,Q,m with the strength of the magnetic monopole Q = 3 and ϕ = 0 in the lowest Landau level, where m is z component of the orbital angular momentum, θ and ϕ are the angular coordinates. Blue solid, orange dotted, green dashed and red dash-dotted lines correspond to m = 0, 1, 2 and 3, respectively. b The square modulus of the spherical harmonic functions Yl,m with orbital angular momentum l = 3 and ϕ = 0. Source data are provided in the Supplementary Data.