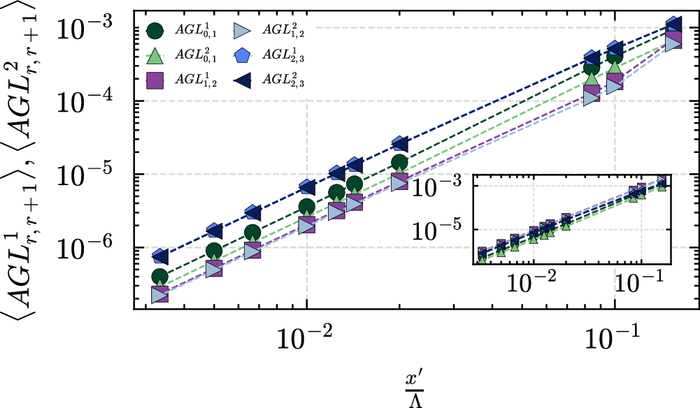
Fig. 6: Numerical demonstration of symmetry protection for local symmetries under Scheme II.
From: Protecting gauge symmetries in the dynamics of SU(3) lattice gauge theories

Here, we constrain the dynamics by imposing the AGLs as an energy penalty. The average of the 6 AGLs across the three links is plotted as a function of the increasing Λ. The inset shows the quantum fluctuation, ΔAGL, of each of these AGLs. In both plots, we see a clear suppression of AGL violation.