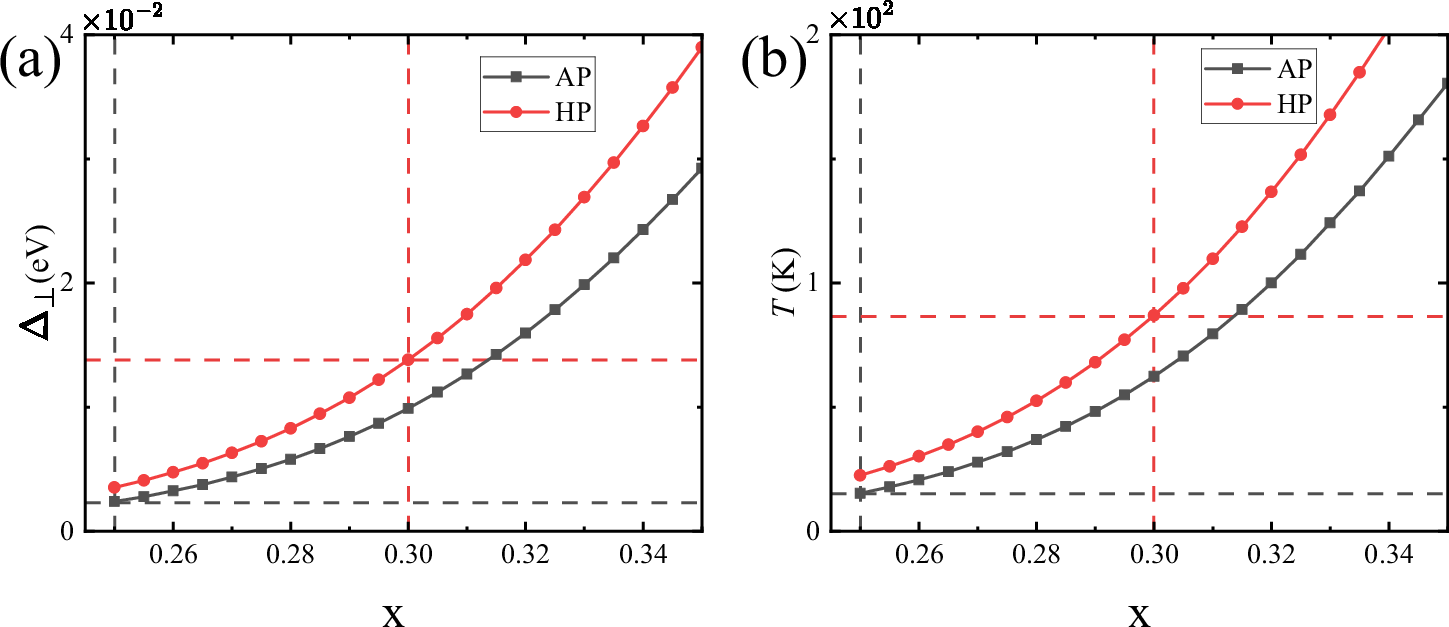
Fig. 3: Filling-dependent superconducting strength.
From: Impact of pressure and apical oxygen vacancies on superconductivity in La3Ni2O7

a Inter-layer pairing gap Δ⊥ versus filling level x. b Superconducting Tc versus filling level x. The position of ambient pressure (AP) and high pressure (HP) physical filling is indicated by black dashed line (x = 0.25) and red dashed line (x = 0.3) respectively.