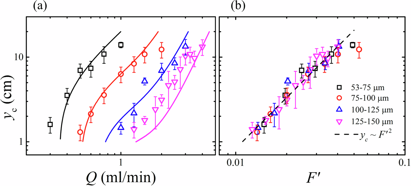
Fig. 3: Location of wormhole onset.

a Wormhole formation height yc as a function of total flow rate Q for all grain sizes. Solid lines represent the height yc, solved numerically through Eqs. (3), (5) with \({Q}_{{{{{\rm{s}}}}}}^{* }={Q}_{{{{{\rm{tip}}}}}}\). Colours and symbols indicate different grain size intervals. b yc plotted as a function of the dimensionless number \({F}^{{\prime} }\) defined in Eq. (1) that quantifies viscous and gravitational effects. The dashed line represents a power law fit of index 2. Error bars represent the standard deviation of repeat measurements.