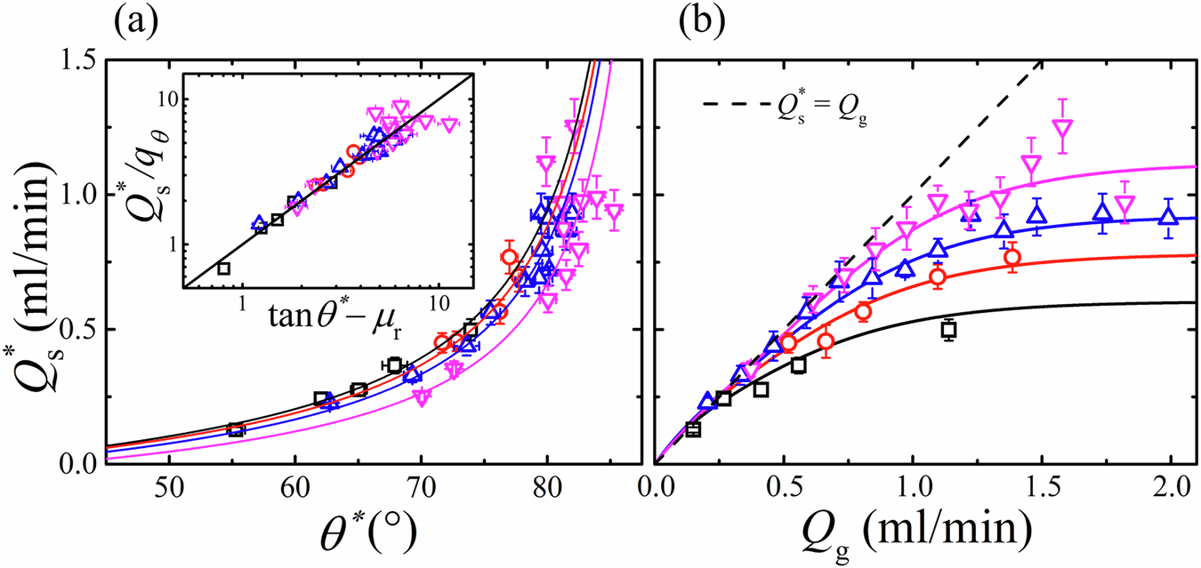
Fig. 5: Surface grain flow rate.

a Steady state free surface flow rate \({Q}_{{{{{\rm{s}}}}}}^{* }\) plotted as a function of angle θ* and fitted with Eq. (3). Inset: \({Q}_{{{{{\rm{s}}}}}}^{* }\) normalised by surface flow rate fitting parameter qθ plotted as function of \(\tan {\theta }^{* }-{\mu }_{{{{{\rm{r}}}}}}\) and fitted with a rearranged Eq. (3), where μr is the effective friction coefficient. b \({Q}_{{{{{\rm{s}}}}}}^{* }\) as a function of total grain flow rate Qg. Solid lines represent the combination of Eqs. (2), (3); colours and symbols indicate different grain size intervals; error bars represent the standard deviation from repeat measurements.