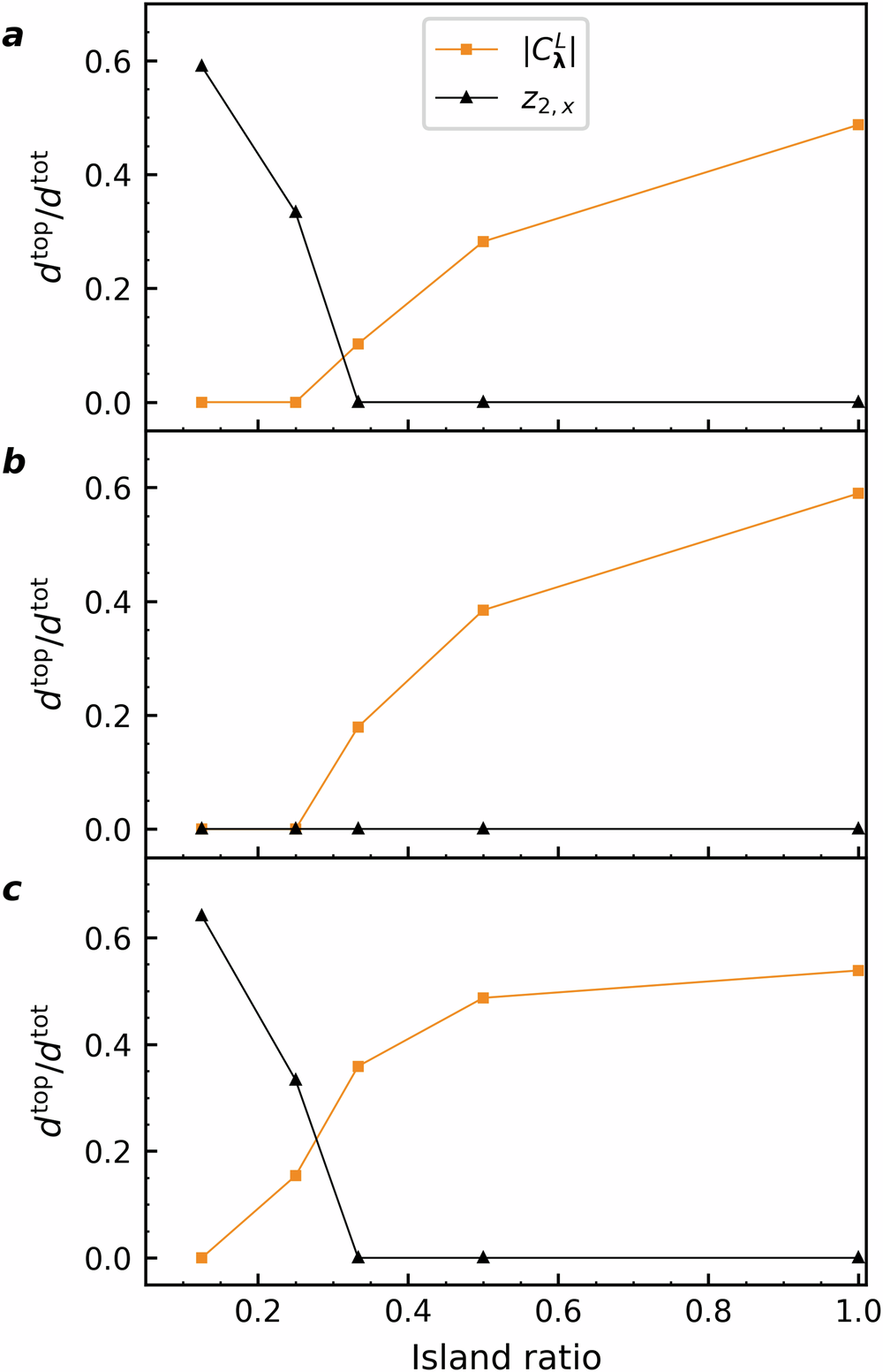
Fig. 7: Topological dimensional crossover as a function of island width.
From: Dimensional crossover of class D real-space topological invariants

Length of the cut along x for y = N/2 and E = 0, as shown in Fig. 4, for which the local topological invariants \({C}_{{{{\boldsymbol{\lambda }}}}}^{{{{\rm{L}}}}}\) (orange squares) and z2,x (black triangles) are nontrivial and localizer gap of appropriate dimension is larger than 0.02t, dtop, divided by the number of sites along the cut, dtot. a Lattice uses the parameters from Fig. 4. b Lattice uses the parameters N = 20, μ = 0, α = 0.8t/l, Δ = 1.2t, and JS = 2t. The set of plots showing the topological transition can be found in Supplementary Note 5. c Lattice uses the parameters from Fig. 6. The spectral localizer calculations use κ = 0.05(t/l).