Abstract
Laser cooling of molecules is a powerful technique for producing cold, slow beams for precision measurements and quantum control, yet its implementation remains challenging due to molecular complexity. Here, we combine a cryogenic buffer gas beam, an electrostatic hexapole lens, and 2D transverse Doppler laser cooling to produce a bright beam of barium monofluoride (138Ba19F) molecules. We study both numerically and experimentally the laser cooling effect as a function of laser detuning, laser power, laser alignment, and interaction time. We find a scattering rate of 6.1(1.4) × 105 s−1 on the laser cooling transition (14% of the expected maximum) and identify suboptimal dark Zeeman state remixing, suboptimal laser sideband powers and detunings, and a lack of vibrational repump laser intensity as possible causes of such a low rate. Using 3 tuneable lasers with appropriate sidebands and detuning, each molecule scatters approximately 400 photons during 2D laser cooling, limited by the interaction time and scattering rate. Leaks to dark states are less than 10%. Finally, we use the experimental results to benchmark the trajectory simulations to predict the achievable flux 3.5 m downstream for a planned eEDM experiment.
Similar content being viewed by others
Introduction
Intense beams of cold molecules provide valuable quantum sensors for testing fundamental symmetries and serve as the main loading mechanism of (magneto) optical traps used to study ultra-cold chemistry and quantum simulation1,2,3,4,5. Heavy, polar molecules are particularly suitable for electron electric dipole moment (eEDM) searches of \({{{\mathcal{CP}}}}\) violation6. The current limit on the eEDM constrains some models of new physics up to and above 10 TeV, probing energies beyond those accessible by current particle colliders7,8,9. Motivated by this, the field of molecular eEDM searches is rapidly developing10,11,12. This work is part of a project that aims at an eEDM measurement using an intense, cold, and slow beam of 138Ba19F, henceforth BaF, molecules13, and to extend the methods used to trapped polyatomic molecules14,15. Furthermore, BaF is an attractive test case for experiments with isoelectronic, similarly structured but heavier radioactive molecules such as RaF16 or RaOH17, which promise impressive improvements in sensitivity to nuclear \({{{\mathcal{P,\; T}}}}\) violating physics.
Current eEDM experiments use ions in a radiofrequency (RF) trap or neutral molecules in a cryogenic buffer gas beam. The former yields a long coherent interaction time τ, at the expense of smaller numbers of molecules N due to Coulomb repulsion, e.g., N ~ 2 × 104 HfF+ ions with τ ~ 3 s7,18. In contrast, the latter benefits from high molecule fluxes up to ~ 1012 molecules state−1 sr−1 pulse−1 but produces only τ ~ 1 ms due to the beam’s forward velocity and divergence19,20,21. A considerable fraction of the flux is generally lost due to the large spread of transverse velocity of the cryogenic buffer gas beam of ~ 40 m/s. This loss can be reduced by implementing an electric or magnetic lens to capture and focus or collimate divergent molecular trajectories through a region of interest22,23. Another method to reduce the transverse velocity is Sisyphus laser cooling24,25,26. This method has a transverse capture velocity of ≈ 1 m/s and consequently captures only a small part of the transverse phase-space distribution of the beam27. In contrast, Doppler laser cooling can work on an arbitrary velocity range, set by the laser detuning. Therefore, an attractive option to obtain a collimated, high-flux molecular beam is to capture and focus a large part of the transverse-velocity distribution using an electrostatic lens and subsequently apply Doppler laser cooling near the focus. The combination of a hexapole lens and laser cooling enables the application of forces that depend on the transverse position and velocity of the molecules: The hexapole lens provides position-dependent forces, while laser cooling introduces velocity-dependent (friction) forces. This combination therefore offers a simple and versatile alternative to a 2D MOT28. Furthermore, at appropriately chosen settings, it provides a larger capture velocity than a 2D MOT29. The resulting intense beam of molecules can be used for precision tests directly, or as input for a Stark decelerator or longitudinal laser slowing, to improve loading rates into (magneto) optical traps30.
Although various forms of laser cooling have been widely applied to atoms, extending these techniques to molecules is complicated due to their complex internal structure. However, in the last two decades, a variety of diatomic and polyatomic molecules have been cooled to low microkelvin temperatures and loaded into traps24,26,31,32,33,34,35,36. Efficient transverse Doppler laser cooling of BaF is complicated by the relatively long lifetime of 57 ns of the A2Π1/2 state37 and a small recoil velocity for each scattered photon due to the high molecular mass and low frequency of the cooling light. Furthermore, the hyperfine structure in both ground and excited states, the natural linewidth, and the relevant Doppler shifts are of similar magnitude. As a consequence, a single laser frequency will target different transitions and create competing blue-detuned heating and red-detuned cooling. Recent work on laser cooling BaF has demonstrated Sisyphus cooling in 1D38, and laser slowing and 3D magneto-optical trapping29.
Here, we apply two-dimensional Doppler cooling on a hexapole-focused BaF molecular beam. We study the cooling effect measured at 0.66 m downstream as a function of laser detuning, laser power, and hexapole voltage and investigate its sensitivity to laser alignment. The experiment is modeled with trajectory simulations that use an effective two-level approach for the laser cooling effect. We used the simulations to extrapolate the gain in molecule flux at 3.5 m downstream, the expected free flight distance for our eEDM experiment, for various experimental configurations.
Methods
Experimental setup
This section describes the laser system and the experimental setup. Figure 1a, b shows the relevant energy levels and hyperfine structure, including the branching ratios calculated in ref. 39, for the laser cooling scheme applied here. We will refer to light that couples the electronic ground- and excited states with a specific vibrational level v = i and \({v}^{{\prime} }=j\), respectively, as \({{{{\mathcal{L}}}}}_{ij}\). We use in total three lasers (a cooling laser and two vibrational repumpers) with four sidebands each for the cooling process, a separate laser with one sideband for optical pumping into the detection state, and split off part of the repumpers to do efficient, background free detection. The main cooling laser \({{{{\mathcal{L}}}}}_{00}\) drives the rotationally closed \({{{\rm{A}}}}^{2} {\Pi}_{1/2}({v}^{\prime} =0,{J}^{\prime} =1/2)\leftarrow\) X2Σ+(v = 0, N = 1) transition with decay rate Γ/2π = 2.79 MHz and wavelength λ = 860 nm37. Dark Zeeman states are remixed using a magnetic field40. The total magnetic field is the sum of a 2 G field in the + z direction generated by a Helmholtz coil and the ambient magnetic field of ~ 0.5 G, oriented mostly along − y. Molecules that decay to the vibrationally excited states X(v = 1, 2) are pumped back into the cooling cycle using lasers \({{{{\mathcal{L}}}}}_{10}\,\,{{{\rm{and}}}}\,\,{{{{\mathcal{L}}}}}_{21}\) at 736 nm and 898 nm, which drive the transitions B\({}^{2}\Sigma ^{+}({v}^{{\prime} }=0,{N}^{{\prime} }=0)\leftarrow\) X2Σ+(v = 1, N = 1) and \({\rm A}^{2}{\Pi}_{1/2}({v}^{{\prime} }=1,{J}^{{\prime} }=1/2)\leftarrow\) X2Σ+(v = 2, N = 1), respectively. Each laser has RF sidebands added to address the relevant hyperfine structure. For \({{{{\mathcal{L}}}}}_{00}\), the F = 2, 1+, 0, 1− levels are addressed using the first-order diffraction from four acousto-optic modulators (AOM) driven at { + 77.0, + 93.8, + 200.4, + 228.7} MHz, respectively. ~ 1 μW of each \({{{{\mathcal{L}}}}}_{00}\) sideband is split off and used for absorption detection. For \({{{{\mathcal{L}}}}}_{10}\) and \({{{{\mathcal{L}}}}}_{21}\), the laser beam is sent through a resonant electro-optic modulator (EOM) which is driven using a sine wave with frequency fm = 38.5 MHz, at a modulation depth of ϕ0 ~ 0.4π. This creates four symmetrically spaced sidebands that roughly overlap with the relevant transitions. The resulting sidebands are slightly off-resonant and consequently require some power broadening to excite the transitions, but this method is less complex compared to setting up a single AOM for each desired sideband, or generating the EOM sidebands using serrodyne waveforms41. The lasers are frequency stabilized using a HighFinesse WS8-2 wavemeter, which provides a short-term stability of < 0.5 MHz but may drift several MHz on timescales of days.
a Energy level scheme relevant for laser cooling of 138Ba19F. Colored lines indicate lasers used for cooling and vibrational (re)pumping, with corresponding wavelength in nm. Thin gray lines denote spontaneous decay channels with corresponding probabilities as calculated in ref. 39, which differ slightly from those experimentally determined in ref. 52. b Hyperfine splittings in the X2Σ+(v = 0, N = 1) and A2Π1/2(v = 0, J = 1/2) state with level spacing in MHz. The B2Σ+(v = 0, N = 0) hyperfine splitting is less than the natural linewidth of the transition. c Schematic view of the experimental setup and d laser light present in the experiment. The BaF molecular beam is created using a cryogenic buffer gas beam source, monitored using absorption detection and focused into the laser cooling region using an electrostatic hexapole. There, the molecules interact with the main cooling light and two repump lasers (red). The reflection pattern shown here is present in both transverse directions; the circles indicate the cooling light in the \(\widehat{y}\) direction. Next, the beam propagates through the vibrational pumping region, where molecules only experience vibrational depump light (orange). Lastly, an EMCCD camera records X ← B fluorescence (dashed) after exciting molecules in the X 2Σ+(v = 1, N = 1) state.
Laser beams \({{{{\mathcal{L}}}}}_{00}\), \({{{{\mathcal{L}}}}}_{10}\) and \({{{{\mathcal{L}}}}}_{21}\) are combined using polarizing optics and sent into two polarization maintaining fibers, one for each transverse cooling direction. Laser \({{{{\mathcal{L}}}}}_{21}\) is only added to the horizontal cooling beam. At each fiber exit, the light is collimated to a 1/e2 waist of dz = 3.3 mm by dx,y = 6.6 mm, parallel and orthogonal to the molecular beam propagation direction, respectively. The beam is then split into two parallel beams using a 50:50 non-polarizing beamsplitter cube, and aligned such that the reflections cross at the center of the molecular beam at an angle of ≈ 0. 5∘ with respect to orthogonal. The retroreflection mirrors are ≈ 33(1) cm apart. Each mirror is aligned parallel to the vacuum chamber windows to within ≈ 1∘ using a mm-scale ruler. Next, the mirrors are aligned parallel to each other to ≪ 1∘ by ensuring a constant spacing between the reflection patterns visible on the vacuum chamber windows. A ghosting reflection of these two cubes is used to monitor the \({{{{\mathcal{L}}}}}_{00}\) laser power using a photodiode. Using a λ/2 waveplate, the angle of the linearly polarized cooling beams is set to 45∘ with respect to \(\widehat{z}\), to maximize the rate at which dark mF states are remixed. The typical laser power per transverse direction delivered to the molecules for the wavelengths addressing X(v = 0, 1, 2) is measured to be approximately 25, 60, 30 mW, respectively.
In order to facilitate detection, an additional laser \({{{{\mathcal{L}}}}}_{01}\) at 829 nm, referred to as the vibrational pump beam, is used to drive the \({\rm A}^{2}{\Pi}_{1/2}({v}^{{\prime} }=1,{J}^{{\prime} }=1/2)\leftarrow\) X2Σ+(v = 0, N = 1) transition. Since the \({\rm A}^{2}{\Pi}_{1/2}({v}^{{\prime} }=1,{J}^{{\prime} }=1/2)\) state has a ≈ 90% probability to decay to the X2Σ+(v = 1, N = 1) state39, laser \({{{{\mathcal{L}}}}}_{01}\) effectively pumps molecules into the X2Σ+(v = 1, N = 1) state. Molecules in this state are detected background-free using \({{{{\mathcal{L}}}}}_{10}\) light. The 829 nm light passes through an AOM driven at 69 MHz. The generated zeroth-order and double-passed first-order beams are combined and used to create two equal intensity sidebands which address the J = 3/2 and J = 1/2 part of the \({\rm A}^{2}{\Pi}_{1/2}({v}^{{\prime} }=1,{J}^{{\prime} }=1/2)\leftarrow\) X2Σ+(v = 0, N = 1) transition, respectively.
Figure 1 shows the experimental setup (c) and the laser beams present at the relevant stages of the experiment (d). The experiment is located in a vacuum system with a pressure of ≈ 10−7 mbar. The cryogenic buffer gas beam source is identical to the one described in ref. 23 except that the cell is extended from 11 to 21 mm to reduce the forward velocity42. The source creates pulses of BaF molecules at 10 Hz with a mean forward velocity of vz = 184 m/s, with a variation of up to 10% depending on the operating parameters. Molecules exit the cell through an aperture with diameter 4.5 mm at z = 0 mm and cross the double-passed absorption beam at z = 5 mm. The absorption signal is used to normalize all fluorescence measurements, to cancel source fluctuations. At z = 187 mm, the molecules enter a hexapole lens with a length of 390 mm and an inner diameter d = 12 mm. The location of the hexapole focus can be changed by varying the applied voltage V0. The transverse velocity-acceptance of the hexapole is equal to vc = 4.6 m/s23, which limits the maximum transverse velocity of molecules that reach the laser cooling region.
The laser cooling region starts 80 mm downstream from the hexapole. For both transverse directions, we introduce two parallel beams from one side of the laser cooling vacuum chamber which are retroreflected in such a way that the reflection of the first beam crosses the second beam as shown in Fig. 1c. This ensures that at every crossing there is red-detuned light present for both positive and negative transverse velocities. In total, 42 (38) passes of cooling light are visible on the horizontal (vertical) vacuum chamber window, for a total effective interaction length of 145 (136) mm. A photomultiplier tube (PMT1) is mounted at an angle of 45∘ relative to the laser beams above the cooling region and collects fluorescence originating from ≈ 40 mm downstream from the start of the cooling region.
The detection region is located 660 mm downstream from the end of the laser cooling region. Although this is far less than the 3.5 m of free flight in the planned eEDM experiment, it is sufficient to quantify the laser cooling forces that can be exerted in our setup. Here, molecules interact with the vibrational pump- and detection laser sheets, which both propagate along the \(\widehat{x}\) direction. Fluorescence is collected using a second photomultiplier tube (PMT2) mounted above the beam or an EMCCD camera mounted in the horizontal plane at a ≈ 55∘ angle with respect to the molecular beam. The vibrational pump- and fluorescence detection beam have a 1/e2 waist of ~ 1.5 mm in the z direction and are stretched in the \(\widehat{y}\) direction using cylindrical lens telescopes with magnification factors M = 30 and M = 68, respectively. The fluorescence beam is clipped in the vertical direction by the 1 inch optics, producing a sheet that is uniform over ≈ 20 mm in the y direction to within 75% of its peak intensity. The vibrational pump- and fluorescence detection sheets have powers of > 150 mW and > 50 mW, respectively, and are retroreflected using a zero degree mirror. In order to compensate for the angle of the camera, the images are horizontally stretched during data analysis.
Trajectory simulations
Before presenting the experimental results, we will first describe the model used to simulate the cooling force. The molecular trajectory simulations presented in ref. 23 are extended to account for changes in the cell geometry and incorporate the laser cooling section. The initial beam distribution is modeled by a 2D Gaussian distribution with a mean forward velocity of vz = 184 m/s, and a velocity spread of 30 m/s and 40 m/s, in the longitudinal and transverse direction, respectively. The transverse position standard deviation, henceforth beam size, of the initial distribution of the molecular beam is set to 4.5 mm. This is larger than the cell aperture and accounts for collisions in the beam occurring in the first few centimeters behind the cell. After this distance, collisions become infrequent, and the molecules follow ballistic trajectories.
The Doppler force is modeled using a two-level approximation, which offers a practical measure of laser cooling effectiveness. The total acceleration a is a sum of the force applied by two counterpropagating transverse laser beams:
where the mass of the BaF molecule M = 156.325 u. A factor η is added, referred to as the scattering efficiency, to take into account the reduction of the scattering rate with respect to the two-level equivalent, e.g., due to the multilevel structure of the cooling transition. For a two-level system with ground state g and excited state e, the maximum scattering rate Rsc = Γ/2. For a system with Ne = 4 excited states and Ng = 12 ground states, Rsc = 2ΓNe/(Ne + Ng) = Γ/443. This results in a maximum total scattering efficiency of ηmax = 0.5. Generally, the scattering rates measured in experiments with laser cooled molecules are significantly lower than their theoretical limit27. In the “Scattering rate” section of the Results, we discuss how our derived scattering rates compare to the theoretical limit.
The friction force of Eq. (1) will cool the molecules to arbitrarily low temperatures. To avoid this unphysical effect, the force is set to zero once the molecules reach a velocity below \({v}_{x,y}=\sqrt{{k}_{B}{T}_{D}/M}=6\,{{{\rm{cm}}}}/{{{\rm{s}}}}\) with TD = ℏ Γ/2kB, the Doppler temperature of the cooling transition. In order to create the extended light field for cooling, the laser beams are reflected multiple times between two mirrors that are parallel to the molecular beam. As a result, the k-vector of the cooling light is not exactly orthogonal to the molecular beam axis but differs by a small angle α. A nonzero α shifts the force curves resulting from each beam to higher velocities, which is compensated by reducing the detuning. Furthermore, an angle β is introduced to account for a possible misalignment of the mirrors with respect to the z-axis. The loss of laser power due to window reflections and mirror transmission exponentially reduces the effective saturation factor along the cooling region by a maximum of 50%. This is taken into account in the spatially dependent saturation parameter s(z) = I(z)/Is,eff, where Is is the two-level saturation intensity and \({I}_{{{\mathrm{s,eff}}}}=(2{N}_{g}^{2}/({N}_{g}+{N}_{e})){I}_{{{{\rm{s}}}}}=18{I}_{{{{\rm{s}}}}}\approx 100\,{{{\rm{\mu }}}}\,{{{\rm{W}}}}/{{{\mathrm{mm}}}}^{2}\). The laser intensity I(z) is obtained by dividing the measured laser power of the cooling beams entering the vacuum chamber by their FWHM area ≈ 25 mm2. The force and detuning for both cooling beams present in the x direction are thus defined as:
Where Δ has the unit Hz. The force and detuning in the \(\widehat{y}\) direction are defined using the same equations, substituting vy for vx. The force model currently does not take into account the decay to dark states such as X(v = 3) or \({\rm A}^{{\prime} 2}{\Delta}_{3/2}\). An example of a trajectory simulation for three different situations is shown in Fig. 2. Here, the value η = ηmax/2 is used to determine the maximum signal gain expected in the experiment.
Cross section in the xz plane at y = 0, z = 1.47 m which shows simulated trajectories of only the molecules that reach the detection image (a–c) along with transverse molecule distribution at the detection point (d–f), for three different situations. About 10% of the flux emitted by the source falls within the capture velocity of the hexapole. The position of the hexapole is indicated by the gray rectangles. The dashed lines indicate the laser cooling region. a, d No hexapole focusing or laser cooling. b, e Lensing at 2.0 kV creates a semi-collimated beam. c, f Hexapole focusing with an applied voltage of 2.0 kV and 2D laser cooling using Δ = − Γ/2π, s0 = 4, α = 0. 5∘, βx, βy = 0.05∘ for each cooling direction. Here, we use η = 0.125 since the cooling beams overlap in the simulations, which will equally divide the total scattering rate between both directions.
Results
Spectroscopy
In order to determine the required RF sideband frequencies of all lasers present in the cooling region, we performed spectroscopy with a single frequency beam using a laser power such that s < 1 on the transition addressed by each laser. The resulting spectra are shown in Fig. 3, including the relative frequency spacing and laser power of the RF sidebands. For (a), the + 77 MHz sideband was used, and for (b) the EOM was simply disabled. Using these spectra, the power ratio for the \({{{{\mathcal{L}}}}}_{00}\) sidebands was chosen to be {2:1:1:2} such that the strongest transition for each ground state F level is addressed while minimizing off resonant excitation from a sideband that targets a different transition. For \({{{{\mathcal{L}}}}}_{10},{{{{\mathcal{L}}}}}_{21}\), the power ratio of the symmetrically spaced sidebands is set to ≈ 2: 1 to compensate for the fact that the first-order sidebands are further detuned from resonance than the second-order. Laser \({{{{\mathcal{L}}}}}_{21}\) uses the same sideband structure as laser \({{{{\mathcal{L}}}}}_{10}\). In all experiments, except for the one shown in Fig. 3a, narrow bandpass filters with a transmission wavelength of 712 nm are placed in front of the PMTs and EMCCD camera in order to detect fluorescence from the B\(({v}^{{\prime} }=0)\leftarrow\) X(v = 0) transition, while blocking out stray light.
Spectroscopy of the main cooling transition and first vibrational repump transition, recorded using PMT1. The sidebands (blue sticks) are set at frequencies corresponding to certain \({F}^{{\prime} }\leftarrow F\) transitions (gray numbers), which are extracted from a multiple Voigt profile fit (solid line). The sideband heights reflect their power ratio. a The \({\rm A}^{2}{\Pi}_{1/2}({v}^{{\prime} }=0,{J}^{{\prime} }=1/2)\leftarrow\) X2Σ+(v = 0, N = 1) transition. b The \({\rm B}^{2}{\Sigma}_{1/2}({v}^{{\prime} }=0,{N}^{{\prime} }=0)\leftarrow\) X2Σ+(v = 1, N = 1) transition. The excited state hyperfine splittings is not resolved. Error bars in signal and frequency denote 1σ confidence interval and 0.5 MHz lock uncertainty, respectively.
Before taking a laser cooling data set, we record the spectrum of the main cooling transition to confirm that the frequency corresponding to a detuning of Δ = 0 MHz is equal to within 1 MHz for both directions, which we take as evidence that the cooling light is correctly aligned. The RF-frequencies to the AOMs are kept constant while the input laser frequency is varied. Figure 4 shows such a spectrum, obtained when \({{{{\mathcal{L}}}}}_{00}\) is reduced to ≈ 2 mW. The observed asymmetric profile results from the relative strengths of the different hyperfine components shown in Fig. 3a.
The frequency of the laser addressing the A\(({v}^{{\prime} }=0)\leftarrow\) X(v = 0) transition was varied while the RF sideband spacings are kept constant. The cooling light is present in either the horizontal (1Dx) or vertical (1Dy) direction. At a frequency measured by the wavemeter of 348661142.0(5) MHz, the AOM sidebands are resonant with transitions 1, 2, 4 and 6 from Fig. 3a, which gives the frequency corresponding to Δ = 0 MHz. The ≈ 20 MHz offset compared to Fig. 3a is due to long term drift of the wavemeter. Error bars in signal and frequency denote 1σ confidence interval and 0.5 MHz lock uncertainty, respectively.
Next, a spectrum is recorded using PMT2 for lasers \({{{{\mathcal{L}}}}}_{10}\) and \({{{{\mathcal{L}}}}}_{21}\) and they are locked at the frequency that produces maximum fluorescence for an optimal repumping rate. The signal from PMT2 rather than PMT1 is used to determine these resonances to minimize the detection bias due to the Doppler shifts from the horizontal velocity component of the molecules. The mean beam velocity is calculated from the mean arrival times measured by PMT1 and PMT2. Typically, after locking the lasers, images of the 712 nm fluorescence detected on the EMCCD camera are averaged over 600 shots, where for each shot a background image is subtracted.
Scattering rate
To estimate η, the scattering rate of the main cooling transition is measured by detecting the population in the X(v = 1) state using \({{{{\mathcal{L}}}}}_{10}\) and while cycling with only \({{{{\mathcal{L}}}}}_{00}\) light and all repumpers off. Figure 5 shows the full image EMCCD signal as a function of interaction time with only horizontal cooling light (1Dx), including a fit for the scattering rate, the signal at t = 0 μs and t = 340 μs. The number of crossings, where red-detuned light is present for both positive and negative transverse velocities, is varied by moving a beam block in front of one of the cooling mirrors. The number of crossings is converted to an interaction time using the measured 1/e2 width of the cooling beam and the mean forward velocity derived from the time of flight profiles recorded by PMT1 and PMT2. The fitted signal at t = 0 corresponds to background X(v = 1) population. The fit uses the relative branching fraction of \({\rm A}^{2}{\Pi}_{1/2}({v}^{{\prime} }=0)\leftarrow\) X2Σ+(v = 0), calculated to be 96.4%39. From this fit, a scattering rate of Rs c = 6.1(1.4) × 105 s−1 is extracted, which is 14% of the theoretical maximum of Γ/4 = 4.4 × 106 s−1 and corresponds to a scattering effiency of η = 0.5 × 0.14 = 0.07. The actual scattering rate during laser cooling is expected to be lower as vibrationally excited molecules are not repumped immediately. We assume a constant scattering rate for both 1D and 2D cooling, which is implemented by introducing an offset between the reflections, such that a low intensity region for 1Dx overlaps with a high intensity region for 1Dy and vice versa. This offset means 2D cooling is effectively alternating 1D cooling for both directions.
Integrated camera signal versus interaction time with crossings of horizontal cooling light shows cycling into the X(v = 1) state. The only lasers present here are 1Dx \({{{{\mathcal{L}}}}}_{00}\) in the cooling region and \({{{{\mathcal{L}}}}}_{10}\) at the detection point. The fitted scattering rate (red) is shown, along with a lower (yellow) and higher (blue) scattering rate for illustration purposes. The signal starts at a nonzero value due to background X(v = 1) population and cycling into the X(v = 1) from two passes of the cooling light that do not cross another beam. Vertical (horizontal) error bars show 1σ confidence intervals (interaction time uncertainty).
This scattering rate may be compared to those obtained in other experiments. Previous work with BaF showed a scattering rate approaching 80% of the theoretical maximum44. More recently, a scattering rate of 7(1) × 105 s−1 was measured for BaF trapped in a MOT29. Although the latter is similar to our value, the maximum scattering rate in that experiment is reduced due to the presence of microwaves coupling the X(v = 0, N = 0) and X(v = 0, N = 1), increasing the number of ground states of the cooling transition. These values suggest that with a better controlled magnetic field, our measured scattering rate can still be increased, which would improve the cooling effect.
Laser cooling characterization
This section details the measurement procedure to quantify the effect of laser cooling and presents the main results. Figure 6a–c shows three example images for different experimental realizations. In (a), both the hexapole lens and laser cooling are turned off, which produces a uniform molecule density, clipped only by the hexapole electrodes and the detection beam. Since the detection beam does not cover the full image height and the CCD chip is less sensitive near the edges, further signal processing is generally restricted to a rectangle of 36 mm in \(\widehat{x}\) by 18 mm in \(\widehat{y}\), referred to as the “full image”. With the lens set to 2.0 kV, a semi-collimated beam is created (b). We chose a hexapole voltage of 2.0 kV for all of the following measurements, rather than strong focusing with 3.5 kV, because that gave the clearest and most easy-to-interpret demonstration of laser cooling.
With both the hexapole lens and laser cooling disabled, molecules are spread out uniformly over the image (a). A faint shadow from to the hexapole electrodes is visible. The sharp decrease in signal in the top and bottom of the image is due to the beam size of the detection light. With the hexapole lens set at 2.0 kV, a semi-collimated beam of low field seeking molecules is created, while high field seekers are defocused (b). With the hexapole lens at 2.0 kV and with 2D laser cooling, the transverse velocity is further reduced and the peak signal increases (c).
For optimal flux far from the source, the optimal hexapole voltage is somewhat higher, such that the molecules are focused in the laser cooling region and subsequently rapidly cooled, as shown in the “Impact on NLeEDM experiment” section of the “Results”, Fig. 7.
Measured (datapoints) and simulated (shaded) signal intensity versus cooling laser detuning, for one dimensional transverse cooling along \(\widehat{x}\) (a), along \(\widehat{y}\) (b) and transverse cooling in two dimensions simultaneously (c). Two simulations are included in each panel; one with a value for the scattering efficiency as determined by the scattering rate measurement shown in Fig. 5 (gray), and one with a 20% reduced scattering efficiency (color). The insets next to each curve show an image with negative (positive) detuning labeled `cool' (`heat'), with the corresponding frequency indicated in the main plot. The middle image is a reference image (`ref') without \({{{{\mathcal{L}}}}}_{00}\) light applied, but with \({{{{\mathcal{L}}}}}_{10}\) and \({{{{\mathcal{L}}}}}_{21}\) present. The image dimensions and color scale of the insets are identical to those of Fig. 6. \({{{{\mathcal{L}}}}}_{00}\) laser power used here was 29 mW for 1Dx and 25 mW for 1Dy, which correspond to average saturation factors of sx ≈ 10, sy ≈ 12, respectively. Error bars in signal and frequency denote 1σ confidence interval and 0.5 MHz lock uncertainty, respectively.
Finally, when cooling light with detuning Δ = − 2.5(5) MHz is added in both horizontal and vertical directions (c), the peak intensity of the beam further increases, indicating a reduction in transverse velocity due to laser cooling.
Figure 8 shows a frequency scan in a range of approximately [ − 3Γ/2π, + 3Γ/2π] using only horizontal cooling light (a, 1Dx), only vertical cooling light (b, 1Dy) or both (c, 2D). The recorded 2D images are analyzed as follows; First, 1D Gaussians of the form \(A\cdot \,\exp [{(x-{x}_{0})}^{2}/2{\sigma }_{x}^{2}]\) and \(A\cdot \,\exp [{(y-{y}_{0})}^{2}/2{\sigma }_{y}^{2}]\) are fitted to the histogram of the signal along x and y, respectively. Next, a circle centered on x0, y0 with radius r = 3 mm is drawn. The number of counts inside this circle is normalized to a reference image (ref) recorded without \({{{{\mathcal{L}}}}}_{00}\) light present in the cooling region and depicted as the red, blue and purple circles in (a,b,c). The shaded curves, also shown, result from trajectory simulations aimed at replicating the experimental conditions; one with the value for the scattering efficiency determined by the scattering rate measurement shown in Fig. 5 (gray), and one with a 20% reduced scattering efficiency (color) attributed to the fact that molecules spent some time in excited vibrational states before being pumped back into the cooling cycle. Multiplying this reduced scattering rate with the total interaction time of ≈ 0.8 ms yields a total number of scattered photons of \({N}_{\gamma }=39{0}_{-80}^{+90}\). The image labeled cool (heat) shows the recorded image at the negative (positive) detuning indicated by the arrow. To approximate losses to dark states, each point of the simulated curves for 1Dx, 1Dy and 2D cooling is multiplied by a factor 0.97, 0.95, 0.9, respectively, such that each curve overlaps near Δ = 0 with the measured signal. This approximation assumes that the losses are uniform over the relevant detuning range, and suggests that the loss factor roughly doubles for 2D cooling compared to 1D cooling. The dispersive shapes showing an increase (decrease) in signal at negative (positive) detuning are indicative of Doppler cooling (heating). For small negative detunings, a 10–15% and 20% signal increase is observed for 1D cooling and 2D cooling, respectively, despite the losses to dark states. Furthermore, the difference in signal between the cooling and heating peak is extracted. This value, labeled ΔSpp, is a useful metric to estimate the scattering efficiency η used in the trajectory simulations. For the data shown in Fig. 8a, b, the extracted values of ΔSpp are 0.28(2) and 0.37(2), respectively. When 2D cooling light is applied, ΔSpp roughly doubles to 0.59(2), indicating the successful application of cooling or heating forces simultaneously in both transverse directions.
Displacement of fitted center positions compared to that of the reference image (a, b) and fitted beam sizes (c, d) as a function of cooling laser detuning, including simulated curves (shaded). Vertical error bars denote uncertainty in least-squares fit. The size of the detection image in the vertical direction is 18 mm, comparable to the beam size of ≈ 16 mm. This leads to uncertainties on the fitted value of σy of > 2 mm. Therefore, no meaningful error bar can be assigned to the values of σy in (d). A constant offset of − 3, − 1.5, − 2.5 mm is applied to the 1Dy data in (a) and the 1Dx and 2D data in (b), respectively, to avoid visual overlap with other datasets. Vertical and horizontal error bars denote fit uncertainty and 0.5 MHz lock uncertainty, respectively.
The trajectory simulations enable us to quantify the transverse temperature \({T}_{\perp }=m{\sigma }_{\perp }^{2}/{k}_{B}\) of the nine images displayed in Fig. 8, using the variance \({\sigma }_{\perp }^{2}\) of the transverse velocity distributions. In the absence of cooling light, we find \({T}_{\perp }^{x}=53(1)\,{{{\rm{mK}}}}\) and \({T}_{\perp }^{y}=57(1)\,{{{\rm{mK}}}}\). The addition of red or blue detuned 1Dx light reduces \({T}_{\perp }^{x}\) to 35(1) mK or increases it to 63(5) mK, respectively. Similarly, addition of red detuned 1Dy light reduces \({T}_{\perp }^{y}\) to 41(1) mK while addition of blue detuned 1Dy light slightly increases it to 59(2) mK. When red or blue detuned 1Dx and 1Dy light are applied simultaneously, corresponding to 2D cooling or heating, \({T}_{\perp }^{x}\) and \({T}_{\perp }^{y}\) are reduced to 41(2) and 32(1) mK or change to 48(2) and 137(9) mK, respectively. We attribute the differences in temperature between the 1D and 2D measurements, taken on different days, to the different values of β, which affects the \({{{{\mathcal{L}}}}}_{00}\) resonance frequency.
Figure 9 shows the displacement of the fitted center position Δx0, Δy0 (a,b) and the fitted beam size σx, σy (c,d) as a function of laser frequency for the same measurements shown in Fig. 8. The signal increase in Fig. 8 is attributed to a decrease in σx and σy. The center position of the molecular beam varies as a function of cooling laser detuning, which we attribute to a non-zero β, signaling that the mirrors are not perfectly parallel to the axis along which the molecular beam propagates (\(\widehat{z}\)). The resonance frequency for each cooling beam changes due to the additional transverse velocity component in the mirror frame originating from the forward velocity vz. As vz/vt ≈ 50 in the cooling region, a value of β = 1∘ already shifts the force curves by ~ 3 m/s. Consequently, a non-zero β leads to (i) molecules being cooled to some nonzero transverse velocity and (ii) the center position of the beam shifting as a function of laser detuning. The misalignment of the horizontal cooling mirrors was reduced between the 2D and 1Dx data sets, which explains the reduced increase in σx at a heating frequency and the reduced peak-to-peak Δx0 for 1Dx compared to 2D. Next, we simulate trajectories using various η, β and take the combination that minimized the least squares residual between the measured and simulated displacement. We focus on displacement rather than beam size because the former is less sensitive to camera angle and velocity selectivity of the detection method. The shaded curves in Fig. 9a, b show the simulated displacement using values for η, β that best match the displacement obtained experimentally. Using this procedure, we obtain misalignment angles of βx = 0.45∘ for 1Dx, βy = 0. 2∘ for 1Dy and βx = 0. 9∘, βy = < 0.05∘ for 2D. The negligible value of Δy0 using 2D cooling light suggests that the vertical cooling mirror was almost perfectly parallel to the molecular beam. Alternatively, it can be caused by a larger scattering rate in the horizontal compared to the vertical direction, which is currently not taken into account in the model.
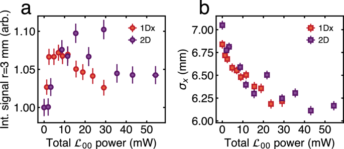
Measured signal intensity (a) and fitted beam size (b) as a function of cooling laser power, for 1Dx cooling (red) and 2D cooling (purple). Error bars in signal and power denote 1σ confidence intervals.
We attribute the apparent ≈ 1 mm offset in σx versus σy to a reduced detection efficiency of molecules with higher horizontal velocities. The simulations show that these are on average located further from the center of the image, as opposed to molecules with lower transverse velocities, which are generally found in the center region of the beam. To model the reduced detection efficiency of molecules that are Doppler-shifted out of resonance due to their horizontal velocities, we record the horizontal velocity distribution of all simulated molecules and mask it using a Lorentzian centered at 0 m/s with a full width at half maximum (FWHM) between 0 and 10 m/s. We find that a FWHM of 6 m/s minimizes the least-squares residuals between the measured and simulated signal in the full image using 1Dx cooling, and apply the masking with this FWHM to the simulated curves shown in Figs. 8 and 9. This detection bias originates from the fact that \({{{{\mathcal{L}}}}}_{01}\) or \({{{{\mathcal{L}}}}}_{10}\) are insufficiently intense, and suggests a saturation of s ≈ 1 for the pump and detection transitions. \({{{{\mathcal{L}}}}}_{01}\) has only two sidebands compared to the four sidebands of \({{{{\mathcal{L}}}}}_{10}\). While the \({{{{\mathcal{L}}}}}_{01}\) pump light has a factor ~ 3 more power compared to the \({{{{\mathcal{L}}}}}_{10}\) detection light, the branching ratio of the A\(({v}^{{\prime} }=1)\leftarrow\) X(v = 0) transition is a factor ~ 7 larger compared to the B\(({v}^{{\prime} }=0)\leftarrow\) X(v = 1) transition39 driven by the laser \({{{{\mathcal{L}}}}}_{10}\), which leads to a higher saturation intensity and consequently to a reduced amount of power broadening. Therefore, the velocity selection is probably due to the \({{{{\mathcal{L}}}}}_{01}\) beam.
The laser cooling section reduces the spread of the transverse velocity of the molecular beam, resulting in a decrease (increase) in σx, σy at negative (positive) detuning. For laser cooling in only one dimension, the randomly directed emission pattern of Doppler cooling creates a small heating effect in the direction orthogonal to the plane spanned by the cooling light. The values obtained previously for η, β are used for the shaded curves in (c, d). Similarly to Fig. 8, a gray curve uses a reduced scattering efficiency determined by the measurement of the scattering rate shown in Fig. 5 and the colored curve uses a 20% reduced scattering efficiency. The shaded curve for 2D cooling in (c) shows an interesting feature near 0 detuning, where a heating (cooling) effect appears at small negative (positive) detuning. We attribute this to the fact that when β > α, the Doppler shift due to the forward velocity of the beam has opposite sign for both beams in one direction. However, the experimental data does not show this feature and therefore suggests instead that the observed displacement is due to a higher scattering rate and a smaller angle βx. The shaded curves in (d) are not subject to the horizontal velocity detection and confirm that the beam size in the absence of laser cooling is ≈ 8 mm, but we leave out a more quantitative comparison to the experiment because no meaningful error bar can be assigned to the values of σy.
Figure 10 shows the measured signal in a r = 3 mm circle (a) and the fitted σx (b) as a function of laser power. Here, the laser detuning was set to Δ = − 2.5(5) MHz. In panel (a), the signal sharply rises at low powers for both 1D and 2D cooling, before flattening off and eventually declining. However, in panel (b), we show that the width of the beam only starts to saturate at the highest measured laser powers. This likely indicates that at higher laser powers, the scattering rate and consequently the cooling effect increase, but the loss to dark states counteracts the signal increase. We expect the cooling to improve when we add repumpers to address the leaks to the positive parity X2Σ(v = 0, N = 0, 2) states, which originate from decay to the intermediate electronic \({\rm A}^{{\prime} 2}{\Delta}_{3/2}\) state, or decays directly to the vibrationally excited X2Σ+(v = 3, N = 1) state.
The simulated relative molecule flux per shot (a, b) and beam size σ (c, d) for increasing laser cooling interaction length are shown. The flux is normalized to the simulated flux with a hexapole voltage of 0 kV and the cooling light turned off. Here, we use three different scattering efficiencies of η = 0.06, 0.12, 0.24, and a hexapole voltage of 2.0 kV (yellow, orange, red) or 3.5 kV (light blue, dark blue, purple). Installing two laser cooling vacuum chambers provides a total interaction length of 28 cm. The cooling parameters are Δ = − Γ, s = 4, α = 0. 5∘ with angles of βx, βy = 0.05∘ for each cooling direction.
Impact on NL-eEDM experiment
We plan to implement the method to obtain a bright beam by combining a hexapole lens and laser cooling presented in the next phase of the NL-eEDM experiment to increase both the molecule flux N and maximum coherent interaction time τ. The statistical sensitivity of an eEDM experiment is proportional to \(1/\tau \sqrt{N}\). The supersonic source used in the NL-eEDM experiment45 has a mean forward velocity of ≈ 600 m/s and brightness of 6 × 108 molecules/pulse/sr in the X2Σ+(v = 0, N = 1) state46. In contrast, the cryogenic buffer gas beam source we use has a mean forward velocity of ≈ 200 m/s and an initial brightness of ≈ 2 × 1010 molecules/pulse/sr in the X2Σ+(v = 0, N = 1) state42, similar to values reported for other molecular species47. The exact gain in beam brightness or molecule flux per unit solid angle due to implementing the focused and laser cooled cryogenic beam depends on the efficiency of the hexapole lens-laser cooling combination. This strongly depends on the voltage applied to the hexapole lens, and the attainable scattering rate and interaction time in the laser cooling process. The free flight distance for the beam in the NL-eEDM experiment is ≈ 3.5 m downstream from the cooling region. Figure 7 shows the simulated relative molecule flux Nmol (a,b) in a circle of radius 3 mm centered on the molecular beam with vz = 184 m/s at z = 3.5 m downstream from the laser cooling chamber and beam size (c,d), for varying laser cooling lengths, scattering efficiencies and hexapole voltages, and is normalized to the flux with the hexapole voltages and laser cooling light turned off. The line thickness indicates the \(\sqrt{{N}_{{{{\rm{mol}}}}}}\) uncertainty. Here, we use the same dimensions and spacing of the cooling light as shown in the “Experimental setup” subsection of the Methods, assume all relevant dark states are repumped and assume the population to be entirely in a low-field seeking state. The latter can be experimentally achieved by using 3 out of 4 sidebands that address the main cooling transition, to pump molecules residing in hyperfine states F = 0, 1−, 1+ into the low-field seeking F = 2 state. The simulations suggest that implementing a second laser cooling chamber and increasing the scattering rate to a realistic value of 50% of the theoretical maximum will increase the beam brightness for molecules in the N = 1 state by more than a factor 100 compared to that of the cryogenic source. Figure 7 shows that at a relatively high scattering efficiency (η ≥ 0.24), the gain in downstream molecule flux is higher when the hexapole is used to focus (3.5 kV) rather than collimate (2.0 kV) the beam.
A separate manuscript with a more detailed discussion on the exact implementation of rotational- and hyperfine pumping stages, the lens and the laser cooling region, population transfer to the eEDM measurement state and the resulting relevant molecule flux for the NL-eEDM experiment is currently in preparation.
Discussion
The main factors that currently limit the efficiency of the laser cooling process are (i) the scattering rate, (ii) the interaction time and (iii) the decay to dark states. (i) Possible explanations for the relatively low observed scattering rate are suboptimal dark Zeeman state remixing, suboptimal laser sideband powers and detunings, and a lack of vibrational repump laser intensity. The remixing rate can be optimized by improved control over the angle between laser polarization and magnetic field after compensating the background magnetic field. Alternatively, σ+ ↔ σ− polarization modulation using a Pockels cell can be implemented28,48. The sideband powers and detunings were chosen to match the transition strengths and spacings, respectively, and were not systematically varied. This will be addressed in future work. Furthermore, we plan to use PyLCP49 to simulate the full OBEs for our system to reveal deeper insights into the cooling cycle, take sub-Doppler cooling and off-resonant driving effects into account to explain and optimize the measured scattering rate. (ii) The interaction time can be increased by extending the cooling region or reducing the forward velocity of the molecular beam. The former can be easily extended by adding a second cooling chamber, assuming that there is enough laser power present to sufficiently saturate the required transitions. The latter can be improved by installing a second cell after the cryogenic source5, which was shown to lower the forward velocity by ≈ 30% without sacrifice of N = 1 flux. (iii) The decay to dark states can be addressed by adding repumpers for the relevant states – most likely the biggest leak is currently to the N = 0 and N = 2 states in the X2Σ+(v = 0) due to the intermediate A\({\rm A}^{{\prime} 2}{\Delta}_{3/2}\) state39.
Three different, more fundamental limits of the lens-laser cooling combination are the Stark shift of the lensing state, the capture velocity of the hexapole lens, and the rate of velocity dissipation due to the lifetime of the excited state of the cooling transition. The Stark shift of the lensing state N = 1 of BaF has a quadratic or linear character depending on the applied electric field, which does not allow one to create a harmonic potential with only a single quadrupole or hexapole lens. This prevents the creation of a tight focus23. Furthermore, the turning point from low-field to high-field seeking is at a rather modest field strength of ≈ 20 kV/cm, which combined with the relatively high mass of the BaF molecule limits the capture velocity to ≈ 4.6 m/s, which implies that only a small fraction of the molecules in the cryogenic buffer gas beam are used. Alternatively, a higher rotational state such as N = 2 can be used, which yields a higher lens capture velocity but requires state transfer and higher voltages. Therefore, the hexapole lens-laser cooling combination is likely better suited for lighter, laser-cooleable molecules with (i) a higher maximum scattering rate and higher lens capture velocity, such as CaF or SrF or (ii) a state possessing a fully linear or quadratic Stark shift, such as the (010) bending mode of CaOH or SrOH27. If the hexapole lens capture velocity exceeds the laser cooling capture velocity, a curved wavefront approach can be used50, or the laser detuning can be swept in a manner similar to chirped laser slowing to ensure molecules stay resonant as their transverse velocity reduces51. The laser cooling section can also be split into a Doppler and sub-Doppler part, where the first section uses Doppler cooling to reduce the transverse velocity to a range where strong sub-Doppler forces can be leveraged to create an ultracold beam. Finally, the downstream brightness can also be increased by modifying the setup to reduce the free flight distance between the source and hexapole, or implementing a 2D transverse laser cooling section in front of the hexapole.
In conclusion, we have demonstrated and analyzed the combination of a cryogenic buffer gas source, an electrostatic hexapole lens and 2D transverse Doppler laser cooling to produce an intense, cold and collimated beam of 138Ba19F molecules. We modeled the laser cooling region using an effective two-level approach and used it to explain the measured signal increase and molecular beam properties. We measure a scattering rate of the main cooling transition that is 14% of the theoretical maximum and find that a further ≈ 20% reduced rate is needed for the simulated cooling effect to match the experimental data. These simulations also predict a 100-fold increase in molecule flux available for our eEDM experiment.
Data availability
Data are available from the corresponding author upon request.
Code availability
The code we used for analyzing the experimental results and calculating the molecular trajectories is available from the corresponding author upon request.
Change history
18 March 2026
A Correction to this paper has been published: https://doi.org/10.1038/s42005-026-02562-2
References
Ye, J. & Zoller, P. Essay: quantum sensing with atomic, molecular, and optical platforms for fundamental physics. Phys. Rev. Lett. 132, 190001 (2024).
Langen, T., Valtolina, G., Wang, D. & Ye, J. Quantum state manipulation and cooling of ultracold molecules. Nat. Phys. 20, 702–712 (2024).
Cheuk, L. W. et al. Observation of collisions between two ultracold ground-state CaF molecules. Phys. Rev. Lett. 125, 043401 (2020).
Blackmore, J. A. et al. Ultracold molecules for quantum simulation: rotational coherences in CaF and RbCs. Quantum Sci. Technol. 4, 014010 (2018).
White, A. D. et al. Slow molecular beams from a cryogenic buffer gas source. Phys. Rev. Res. 6, 043232 (2024).
DeMille, D., Hutzler, N. R., Rey, A. M. & Zelevinsky, T. Quantum sensing and metrology for fundamental physics with molecules. Nat. Phys. 20, 741–749 (2024).
Roussy, T. S. et al. An improved bound on the electron’s electric dipole moment. Science 381, 46–50 (2023).
Cesarotti, C., Lu, Q., Nakai, Y., Parikh, A. & Reece, M. Interpreting the electron EDM constraint. J. High. Energy Phys. 2019, 59 (2019).
Athanasakis-Kaklamanakis, M. et al. Community input to the European strategy on particle physics: Searches for permanent electric dipole moments. Preprint at https://doi.org/10.48550/arXiv.2505.22281 (2025).
Hiramoto, A. et al. SiPM module for the ACME III electron EDM search. Nucl. Instrum. Methods Phys. Res. Sect. A: Accel. Spectrom. Detect. Assoc. Equip. 1045, 167513 (2023).
Vutha, A., Horbatsch, M. & Hessels, E. Oriented polar molecules in a solid inert-gas matrix: A proposed method for measuring the electric dipole moment of the electron. Atoms 6, 3 (2018).
Fitch, N. J., Lim, J., Hinds, E. A., Sauer, B. E. & Tarbutt, M. R. Methods for measuring the electron’s electric dipole moment using ultracold YbF molecules. Quantum Sci. Technol. 6, 014006 (2021).
Aggarwal, P. et al. Measuring the electric dipole moment of the electron in BaF. Eur. Phys. J. D. 72, 197 (2018).
Aggarwal, P. et al. Deceleration and trapping of SrF molecules. Phys. Rev. Lett. 127, 173201 (2021).
Bause, R. et al. Prospects for measuring the electron’s electric dipole moment with polyatomic molecules in an optical lattice. Phys. Rev. A 111, 062815 (2025).
Arrowsmith-Kron, G. et al. Opportunities for fundamental physics research with radioactive molecules. Rep. Prog. Phys. 87, 084301 (2024).
Kozyryev, I. & Hutzler, N. R. Precision measurement of time-reversal symmetry violation with laser-cooled polyatomic molecules. Phys. Rev. Lett. 119, 133002 (2017).
Zhou, Y. et al. Second-scale coherence measured at the quantum projection noise limit with hundreds of molecular ions. Phys. Rev. Lett. 124, 053201 (2020).
Andreev, V. et al. Improved limit on the electric dipole moment of the electron. Nature 562, 355–360 (2018).
Hutzler, N. R., Lu, H.-I. & Doyle, J. M. The buffer gas beam: an intense, cold, and slow source for atoms and molecules. Chem. Rev. 112, 4803–4827 (2012).
Truppe, S. et al. A buffer gas beam source for short, intense and slow molecular pulses. J. Mod. Opt. 65, 648–656 (2018).
Wu, X. et al. Electrostatic focusing of cold and heavy molecules for the ACME electron EDM search. N. J. Phys. 24, 073043 (2022).
Touwen, A. et al. Manipulating a beam of barium fluoride molecules using an electrostatic hexapole. N. J. Phys. 26, 073054 (2024).
Alauze, X. et al. An ultracold molecular beam for testing fundamental physics. Quantum Sci. Technol. 6, 044005 (2021).
Kozyryev, I. et al. Sisyphus laser cooling of a polyatomic molecule. Phys. Rev. Lett. 118, 173201 (2017).
Augenbraun, B. L. et al. Laser-cooled polyatomic molecules for improved electron electric dipole moment searches. N. J. Phys. 22, 022003 (2020).
Fitch, N. & Tarbutt, M. Laser-cooled molecules. Adv. At. Mol. Opt. Phys. 70, 157–262 (2021).
Hummon, M. T. et al. 2d magneto-optical trapping of diatomic molecules. Phys. Rev. Lett. 110, 143001 (2013).
Zeng, Z., Deng, S., Yang, S. & Yan, B. Three-dimensional magneto-optical trapping of barium monofluoride. Phys. Rev. Lett. 133, 143404 (2024).
Langin, T. K. & DeMille, D. Toward improved loading, cooling, and trapping of molecules in magneto-optical traps. N. J. Phys. 25, 043005 (2023).
Shuman, E. S., Barry, J. F. & DeMille, D. Laser cooling of a diatomic molecule. Nature 467, 820–823 (2010).
Burau, J. J., Aggarwal, P., Mehling, K. & Ye, J. Blue-detuned magneto-optical trap of molecules. Phys. Rev. Lett. 130, 193401 (2023).
Jorapur, V., Langin, T. K., Wang, Q., Zheng, G. & DeMille, D. High density loading and collisional loss of laser-cooled molecules in an optical trap. Phys. Rev. Lett. 132, 163403 (2024).
Vilas, N. B. et al. Magneto-optical trapping and sub-Doppler cooling of a polyatomic molecule. Nature 606, 70–74 (2022).
Lasner, Z. D. et al. Magneto-optical trapping of a heavy polyatomic molecule for precision measurement. Phys. Rev. Lett. 134, 083401 (2025).
Mitra, D. et al. Direct laser cooling of a symmetric top molecule. Science 369, 1366–1369 (2020).
Aggarwal, P. et al. Lifetime measurements of the a2Π1/2 and a2Π3/2 states in BaF. Phys. Rev. A 100, 052503 (2019).
Rockenhäuser, M., Kogel, F., Garg, T., Morales-Ramírez, S. A. & Langen, T. Laser cooling of barium monofluoride molecules using synthesized optical spectra. Phys. Rev. Res. 6, 043161 (2024).
Hao, Y. et al. High accuracy theoretical investigations of CaF, SrF, and BaF and implications for laser-cooling. J. Chem. Phys. 151, 034302 (2019).
Xia, M. et al. Destabilization of dark states in MgF molecules. Phys. Rev. A 103, 013321 (2021).
Kogel, F., Garg, T., Rockenhäuser, M., Morales-Ramírez, S. A. & Langen, T. Molecular laser cooling using serrodynes: implementation, characterization and prospects. N. J. Phys. 27, 055001 (2025).
Mooij, M. C. et al. Influence of source parameters on the longitudinal phase-space distribution of a pulsed cryogenic beam of barium fluoride molecules. N. J. Phys. 26, 053009 (2024).
Truppe, S. et al. Molecules cooled below the doppler limit. Nat. Phys. 13, 1173–1176 (2017).
Chen, T., Bu, W. & Yan, B. Radiative deflection of a BaF molecular beam via optical cycling. Phys. Rev. A 96, 053401 (2017).
Boeschoten, A. et al. Spin-precession method for sensitive electric dipole moment searches. Phys. Rev. A 110, L010801 (2024).
Aggarwal, P. et al. A supersonic laser ablation beam source with narrow velocity spreads. Rev. Sci. Instrum. 92, 033202 (2021).
Wright, S. C. et al. Cryogenic buffer gas beams of AlF, CaF, MgF, YbF, al, ca, yb and NO - a comparison. Mol. Phys. 121, e2146541 (2023).
Berkeland, D. J. & Boshier, M. G. Destabilization of dark states and optical spectroscopy in Zeeman-degenerate atomic systems. Phys. Rev. A 65, 033413 (2002).
Eckel, S., Barker, D. S., Norrgard, E. B. & Scherschligt, J. PyLCP: a Python package for computing laser cooling physics. Comput. Phys. Commun. 270, 108166 (2022).
Clausen, G. et al. Combining laser cooling and Zeeman deceleration for precision spectroscopy in supersonic beams. Phys. Rev. A 110, 042802 (2024).
Truppe, S. et al. An intense, cold, velocity-controlled molecular beam by frequency-chirped laser slowing. N. J. Phys. 19, 022001 (2017).
Rockenhäuser, M., Kogel, F., Pultinevicius, E. & Langen, T. Absorption spectroscopy for laser cooling and high-fidelity detection of barium monofluoride molecules. Phys. Rev. A 108, 062812 (2023).
Acknowledgements
The NL-eEDM collaboration receives funding (eEDM-166, XL21.074 and VI.C.212.016) from the Dutch Research Council (NWO). We acknowledge the technical support from L. Huisman and O. Böll.
Author information
Authors and Affiliations
Consortia
Contributions
S.H., H.B., A.B., R.G.E.T., W.U., and L.W. conceived the experiment. J.H. developed the laser system, performed the experiments, analyzed the data, and drafted the first version of the manuscript. J.H., A.T., R.B., and T.F. developed the vacuum system. I.T. and J.H. performed the trajectory simulations using an adapted version of a code originally written by A.T. and H.B. A.T. helped with an early version of the experiment and data analysis. S.H. and H.B. supervised the project. J.H., I.T., A.T., N.B., R.B., H.B., A.B., T.F., S.H., S.J., J.L., M.M., H.M., B.N., E.P., B.S., L.S., R.T., W.U., J.V., and L.W. discussed and approved the final manuscript.
Corresponding author
Ethics declarations
Competing interests
The authors declare no competing interests.
Peer review
Peer review information
Communications Physics thanks Ben Sauer, Chi Zhang and the other, anonymous, reviewer(s) for their contribution to the peer review of this work.
Additional information
Publisher’s note Springer Nature remains neutral with regard to jurisdictional claims in published maps and institutional affiliations.
Rights and permissions
Open Access This article is licensed under a Creative Commons Attribution-NonCommercial-NoDerivatives 4.0 International License, which permits any non-commercial use, sharing, distribution and reproduction in any medium or format, as long as you give appropriate credit to the original author(s) and the source, provide a link to the Creative Commons licence, and indicate if you modified the licensed material. You do not have permission under this licence to share adapted material derived from this article or parts of it. The images or other third party material in this article are included in the article’s Creative Commons licence, unless indicated otherwise in a credit line to the material. If material is not included in the article’s Creative Commons licence and your intended use is not permitted by statutory regulation or exceeds the permitted use, you will need to obtain permission directly from the copyright holder. To view a copy of this licence, visit http://creativecommons.org/licenses/by-nc-nd/4.0/.
About this article
Cite this article
van Hofslot, J.W.F., Thompson, I.E., Touwen, A. et al. 2D transverse laser cooling of a hexapole focused beam of cold BaF molecules. Commun Phys 9, 40 (2026). https://doi.org/10.1038/s42005-025-02470-x
Received:
Accepted:
Published:
Version of record:
DOI: https://doi.org/10.1038/s42005-025-02470-x












