Abstract
Ultracold quantum gases with long-range anisotropic interactions host novel exotic phases of matter, such as supersolids, exhibiting both rigid and superfluid characteristics. The impact of this interplay on the out-of-equilibrium dynamics of dipolar gases, and in particular its connection with universal turbulent behavior, remains highly unexplored. Here, upon considering a dipolar Bose-Einstein condensate of dysprosium atoms being dynamically driven across the supersolid-superfluid phase transition and vice versa, we unveil the emergence of a robust nonequilibrium quasi-steady state. This state displays self-similar momentum distributions exhibiting algebraic decay at large momenta, with scaling exponents supporting the existence of wave turbulence. We demonstrate that supersolidity sustaining higher-lying momenta, associated with the roton minimum, promotes the development of turbulence. Our results provide a stepping stone toward unraveling and exploiting turbulent and self-similar behavior in anisotropically long-range interacting quantum gases amenable in current experiments.
Similar content being viewed by others
Introduction
Turbulence is a ubiquitous hydrodynamic phenomenon associated with direct (inverse) energy cascades from larger (smaller) to smaller (larger) length scales1,2,3,4. It has an unambiguously interdisciplinary role determining the flow of fluids5,6, the formation of polymers7, the climate of planets8,9, as well as star explosions10. Due to the many degrees of freedom involved, providing a microscopic description of turbulence is challenging. Instead, statistical models are capable to capture the energy transfer, mediated either through vortices or nonlinear waves, alias vortex and wave turbulence respectively11,12,13,14. The latter features turbulent cascades stemming from wave propagation in disparate media, such as classical and quantum fluids, optical systems, and plasma14,15. The energy transfer to smaller length scales occurs due to the nonlinear wave mixing13,14. Importantly, a perturbative treatment of the nonlinear interactions leads to a unified statistical treatment, dubbed weak wave turbulence.
These complex transfer processes can be monitored in a controllable fashion in the realm of ultracold quantum gases16,17,18,19,20,21,22. These platforms provide leverage on turbulence, allowing to track vortex reconnections and annihilations23,24,25,26,27,28,29,30,31, as well as the propagation of cascade fronts32,33 and eventually the emergence of nonequilibrium steady states34,35,36. Strikingly, initiation of inverse cascades in superfluids (SF)37, and the formation of stratified turbulence by tuning the polarizability of dipolar cold atoms38 have been demonstrated.
Long-range interacting gases39,40,41, such as dipolar settings hosting exotic phases of matter, provide fertile platforms to control turbulent flow42,43, as was already evinced in their classical counterparts, the ferrofluids44,45,46. These magnetic atomic systems commonly consisting of lanthanides47,48,49 sustain self-bound droplet arrays50,51,52,53,54,55, which can be even connected by a SF background forming supersolids (SS)56,57. Such states were observed in both elongated58,59,60 and planar geometries61,62,63. They originate from the softening of a roton minimum, modifying the momentum distribution with respect to that of a SF64,65, which can be utilized to engineer the onset and characteristics of turbulence. In fact, the impact of such exotic phases of matter, featuring shear modulus and frictionless mass transport66,67, on the turbulent response remains elusive. Moreover, since they require the presence of quantum fluctuations68,69,70 for their stabilization, they share the premise to bring forth beyond mean-field aspects of turbulence as well.
In this theoretical work, we showcase the progressive emergence of quantum turbulence in the nonequilibrium dynamics of anisotropically long-range interacting dipolar Bose-Einstein condensates with the first-order quantum correction term. The dipolar gases are trapped in a cylindrically symmetric trap, leading to a 2D crystal arrangement in the SS phase. The gases are initialized in the SS or SF phases, dynamically crossing the ensuing phase boundaries known from the ground state71 by means of a modulated 3D scattering length, leading to constant energy injection. The turbulent response is captured by the self-similar long-time behavior of the momentum distribution at large wavenumbers, exhibiting an algebraic reduction with averaged scaling exponents γ ≈ 2.60 and β ≈ − 0.63, alluding to wave turbulence18,32. These exponents allow us to characterize the emergent quasi-steady state32 in the momentum density distribution and were shown to provide an experimentally feasible way to extract a universal equation of state of weak wave turbulence34. We also find that the long-time evolution of dipolar gases driven across their phase transitions follows the same universal turbulent description as many other systems. The dynamics is characterized by a direct energy cascade front which becomes gradually statistically isotropic at the nonequilibrium quasi-steady state. The latter occurs irrespective of the initial state and the driving frequency when dynamically crossing the phase transitions. Interestingly, non-conventional SS and droplet states accelerate the manifestation of turbulence due to their extended momentum distribution. Finally, we further explicate that the above-described phenomenology persists even under experimental conditions involving relevant three-body losses.
Results
Setup and driving protocol
We consider a dipolar gas of 8 × 104 164Dy atoms polarized along the z-axis and confined in a cylindrically symmetric harmonic trap V(r) characterized by frequencies (ωx, ωy, ωz) = 2π × (43, 43, 133) Hz similar to the experiments of refs. 63,72. The magnetic atoms feature both short-range and long-range two-body interactions and their dynamics is modeled via the appropriate 3D extended Gross-Pitaevskii equation55,73,74 (see also the Methods),
Here, a refers to the 3D scattering length which is experimentally tunable via Fano-Feshbach resonances75,76. Also, m is the mass of 164Dy atoms, and V(r) designates the 3D harmonic trap. The dipolar interaction \({U}_{{{\rm{dd}}}}({{\bf{r}}})=\frac{3{\hslash }^{2}{a}_{{{\rm{dd}}}}}{m}[\frac{1-3{\cos }^{2}\theta }{{{{\bf{r}}}}^{3}}]\) contains the angle θ between the relative distance r = (x, y, z) of two dipoles and the z quantization axis, while add = 131a0 is the 164Dy dipolar length, with a0 being the Bohr radius. The fifth term is the repulsive first-order beyond mean-field Lee-Huang-Yang energy correction within the local density approximation, where \(f({\epsilon }_{{{\rm{dd}}}})=\frac{128\pi {\hslash }^{2}a}{3m}\sqrt{{a}^{3}/\pi }(1+\frac{3}{2}{\epsilon }_{{{\rm{dd}}}}^{2})\), and ϵdd ≡ add/a70,77.
It is known that in dipolar gases, the interplay between short-range and long-range interactions in the presence of quantum fluctuations yields a rich phase diagram39. It features the SF phase at a/a0 > 93, as well as high-density exotic states being the SS for 87≤a/a0≤93, and the droplet arrays at a/a0≤86 in our setup.
The dipolar system is initialized in either a SF or a SS phase characterized by the 3D scattering length ai (see Supplementary Note 5). The scattering length is subsequently periodically modulated with frequency ωd according to \(a(t)={a}_{{{\rm{i}}}}+({a}_{{{\rm{f}}}}-{a}_{{{\rm{i}}}}){\sin }^{2}({\omega }_{{{\rm{d}}}}t)\), where ωd ≳ ωx. Sufficiently large modulation amplitudes (af − ai) trigger the dynamical crossing between different phases, arising at the ground state level at scattering lengths ai and af.
Density profiles and direct energy cascade
Initially, we fix ai = 89 a0 where a SS emerges. In quasi-2D geometries, such a state is typically characterized by spontaneously formed density peaks (droplets) arranged in a hexagonal structure on top of a SF background (Fig. 1a)63,71.
a–e Three dimensional density isosurfaces [referring to 1% (red), 10% (yellow) and 25% (blue) of the 3D peak densities] at different time instants. The initial (final) 3D scattering length is ai = 89 a0 (af = 98 a0) and the driving frequency ωd = 2π × 127 Hz.
Setting af = 98 a0, representing a SF state at the ground state level, the dipolar gas is consecutively periodically driven across the SS-to-SF phase transition in a continuous manner. During the early dynamics the initial hexagonal crystal symmetry is gradually broken, as evidenced by the densities depicted in Fig. 1b and c, pertaining to ωd/(2π) = 127 Hz. This behavior is also reflected in the energy contribution of the first-order beyond mean-field correction term, which progressively becomes less important than the other energy terms as the crystals melt. Instead, high density peaks start to distribute randomly and the SF background becomes substantially perturbed. Meanwhile, a collective motion of the gas occurs, while a small number of defects in the form of vortex dipoles builds upon the SF background which annihilate or drift out of the condensate. The aforementioned density perturbation proliferates during the evolution (Fig. 1d and e), rendering the background distribution similar to that of a non-dipolar SF experiencing wave turbulence32,78.
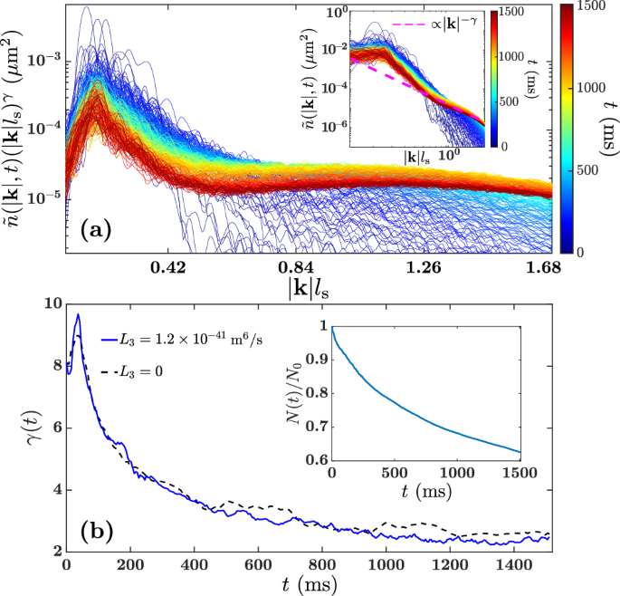
The turbulent stage is independent of the driving frequency, in contrast to the dynamical response at early times which strongly depends on both the driving characteristics and the initial state. To ascertain whether turbulence develops during the long time dynamics, we examine the momentum distribution in the transverse plane defined as \(n({{\bf{k}}},t)={\left| \int d{{{\bf{r}}}}_{\parallel }{{{\rm{e}}}}^{-{{\rm{i}}}{{\bf{k}}}\cdot {{{\bf{r}}}}_{\parallel }}\sqrt{{\left|\Psi ({{{\bf{r}}}}_{\parallel },z,t)\right|}^{2}}\right|}^{2}\), where k = (kx, ky) and r∥ = (x, y). Since the most prominent effect of dipolar interactions is to induce a two-dimensional array of droplets characterized by a roton minimum, krot, lying in the two-dimensional plane, we perform our analysis focusing on the 2D momentum vector. Probing this distribution, which can be experimentally monitored via line-of-sight absorption imaging32, is motivated by the fact that the gas is significantly excited in the plane (see Fig. 1). However, it holds that μ > ℏωz, and therefore the transverse excitations across the z direction are not completely frozen. They are rather mostly associated with the melting of the droplet crystals and the energy transfer (see Supplementary Note 1). Strikingly, for t >200 ms n(k, t) becomes nearly isotropic at large \(\left|{{\bf{k}}}\right|\)32, despite the presence of anisotropic interactions (see Eq. (1)) as evidenced by the ratio of integrated densities \({n}_{x}/{n}_{y}=\frac{\int \,d{k}_{y}\,n({{\bf{k}}},t)}{\int \,d{k}_{x}\,n({{\bf{k}}},t)}\) in the inset of Fig. 2a for ωd/(2π) = 127 Hz. Therefore the azimuthal average \(\widetilde{n}(\left|{{\bf{k}}}\right|,t)=\int \,d\phi \,n(\left|{{\bf{k}}}\right|,\phi ,t)\) is the suitable measure for demonstrating turbulence properties24. The planar momentum distributions are normalized as ∫ dkn(k, t) = 1 and \(\int \,d\left|{{\bf{k}}}\right|\,\left|{{\bf{k}}}\right|\widetilde{n}(\left|{{\bf{k}}}\right|,t)=1\).
a Compensated momentum distribution \(\widetilde{n}(\left|{{\bf{k}}}\right|,t){(\left|{{\bf{k}}}\right|{l}_{{{\rm{s}}}})}^{\gamma }\) saturating to a plateau at large evolution times and momenta, obeying a power-law behavior with exponent γ = 2.5. The dashed line determines the threshold for quantifying \(\left|{{{\bf{k}}}}_{{{\rm{cf}}}}\right|\), and the vertical dash-dotted and dotted lines mark \(\left|{{{\bf{k}}}}_{{{\rm{rot}}}}\right|\) and the forcing wavenumber, \(\left|{{{\bf{k}}}}_{{{\rm{f}}}}\right|\), respectively. The inset displays the ratio of integrated densities, nx/ny, signaling the isotropic dynamics at long evolution times. Panels (b) and (c) present the exponent dynamics γ(t) with respect to the driving frequency, ωd, in the case of the b SS-to-SF transition (ai = 89 a0, af = 98 a0) and c vice versa (ai = 98 a0, af = 91 a0). The dashed lines represent the mean values of the exponents over all ωd. Other parameters are the same as in Fig. 1.
The momentum distribution displays a power-law behavior at large momenta \(\left|{{\bf{k}}}\right|\gg \left|{{{\bf{k}}}}_{{{\rm{rot}}}}\right|\), where \(\left|{{{\bf{k}}}}_{{{\rm{rot}}}}\right|{l}_{{{\rm{s}}}}\simeq 0.1487\) is the roton minimum. Here, \({l}_{{{\rm{s}}}}=\hslash /\sqrt{m\mu }\) is the length scale determined by the chemical potential μ of the initial state. Fitting the \(\widetilde{n}(\left|{{\bf{k}}}\right|,t)\) distribution with \({\left|{{\bf{k}}}\right|}^{-\gamma }\) in the region \(\left|{{\bf{k}}}\right|\in [0.5,0.92]\,{l}_{s}^{-1}\) at t = 1700 ms we extract the exponent γ = 2.50(04), alluding to wave turbulence14, which originates from nonlinear wave mixing18. Note that the chosen momentum range for the fitting occurs at wavenumbers larger than the forcing wavenumber (vertical dotted line in Fig. 2a). The latter is the momentum scale corresponding to the driving frequency, i.e., \(\left|{{{\bf{k}}}}_{{{\rm{f}}}}\right|=2\pi /\sqrt{\frac{\hslash }{m{\omega }_{{{\rm{d}}}}}}\), with ωd/(2π) = 127 Hz.
In the case of weak interactions where the generated waves possess random phases, the so-called weak wave turbulence regime is entered characterized by γ ≃ d, where d is the dimensionality13,78,79. The discrepancy of γ with the d = 2 prediction stems from the fact that transfer of energy occurs also in the axial direction (see Supplementary Note 1). Furthermore, a direct comparison of γ with the d = 3 value is hindered by the lack of isotropy of the 3D momentum distribution. The latter therefore is expected to display a non-trivial momentum dependence, which cannot be easily inferred by the line-of-sight integrated \(\widetilde{n}(\left|{{\bf{k}}}\right|,t)\) distribution and the associated γ exponent. Additional sources of deviation from the exponent estimates arise due to the appearance of the small number of defects as also argued in the case of a non-dipolar SF undergoing wave turbulence18, higher-order corrections to the cascade scaling78, long-range interactions, and the prominent in-plane distribution of the dipolar Bose-gas in the SS regime. The above-described turbulent response holds for the non-viscous SS considered herein. However, the inclusion of viscosity through a phenomenological damping term diminishes short-wavelength excitations enforcing a rapid reduction of high-momentum tails and leading to larger values of γ (see Supplementary Note 4). Moreover, the addition of noise to the initial state leads to the same power-law behavior and exponent.
The momentum distribution compensated with \({\left|{{\bf{k}}}\right|}^{\gamma }\), evolves towards a plateau around \({l}_{{{\rm{s}}}}^{-1}\) (Fig. 2a), demonstrating the development of a nonequilibrium quasi-steady state18,34,79. Before reaching that state, the slope of the compensated distribution’s tail continuously decreases, marking the progression of a cascade front33 towards higher momenta. This is a clean manifestation of a direct energy cascade79. Moreover, the amplitude of the high momentum peak associated with the roton minimum (vertical dashed line in Fig. 2a) decreases, a behavior directly stemming from the melting of the SS crystals. The fitted exponent at these early times decreases before eventually approaching γ ≈ 2.5. The power-law behavior is also inherited by the 2D kinetic energy density, \({{\mathcal{E}}}(\left|{{\bf{k}}}\right|,t)\), near \(\left|{{\bf{k}}}\right|{l}_{{{\rm{s}}}}\simeq 1\) as well, and the respective exponent saturates close to − 0.5, as expected from the scaling relation, \({{\mathcal{E}}}(\left|{{\bf{k}}}\right|,t)=\frac{{\hslash }^{2}{\left|{{\bf{k}}}\right|}^{2}}{m}\widetilde{n}(\left|{{\bf{k}}}\right|,t)\). All other interaction energy terms remain small during time (see Supplementary Note 2).
Notably, wave turbulence consistently arises across a broad range of driving frequencies18, see for instance the time-evolution of the power-law exponents for ωd ∈ [1, 5]ωx illustrated in Fig. 2b. Even though a quasi-steady state arises for all considered driving frequencies, ωd slightly affects the saturation value of the exponent at long evolution times. In particular, at the high end of ωd, ωd/(2π) ∈ (180, 200) Hz, the averaged exponent yields γ = 2.70(24), while the mean value over all considered frequencies is 2.57(19) (dashed line in Fig. 2b).
Impact of the initial state
We subsequently investigate the role of the initial state on the turbulent response, by dynamically crossing the phase transition inversely, i.e., from a SF (ai = 98 a0) to a SS (af = 91 a0). At t ≳300 ms, significant density undulations arise which gradually develop into a wave turbulent cascade quantified by the power-law behavior of \(\widetilde{n}(\left|{{\bf{k}}}\right|,t)\). The time-evolution of the associated exponents for driving frequencies in the range ωd ∈ [1, 5]ωx is displayed in Fig. 2c. They cluster around 2.64(33) at t > 1000ms (dashed line in Fig. 2c), namely at larger timescales compared to the opposite driving scenario (Fig. 2b). However, restricting ωd/(2π) to [130, 200] Hz results in 2.83(26), which is closer to the prediction of weak wave turbulence in d = 3. This timescale prolongation is reminiscent of a shaken non-dipolar SF in a box18, where the corresponding exponent converged towards 3.5. Initially, γ(t) heavily depends on the particular driving frequency, a response attributed to an initial pattern formation stage delaying the onset of turbulence and being strongly linked to ωd (see Supplementary Note 3). Notice also that using a small driving amplitude af − ai, where the dipolar gas remains within the same (SF or SS) phase, leads to weak density deformations without any evidence of wave turbulence (see Supplementary Note 3).
For completeness, we next explore the properties of the nonequilibrium quasi-steady state when transitioning from a SS to a dipolar droplet state52. We start from the SS configuration with ai = 89 a0, see also Fig. 1a, and deploy periodic modulation of the scattering length to af = 82 a0. The latter gives rise to a localized array of isolated droplets in the quasi-2D ground state phase diagram71. However, in the course of the evolution a significant SF connection among the droplets persists, as shown in the inset of Fig. 3 referring to ωd = 2π × 126 Hz. This SF background along with the high-density peaks—similarly to what has been observed in the SF-to-SS transition and vice versa—becomes substantially perturbed at long timescales. Crucially, the exponents γ(t) obtained from the tails of \(\widetilde{n}(\left|{{\bf{k}}}\right|,t)\) irrespectively of ωd (Fig. 3) attain the wave turbulence value γ(t ≳900 ms) ≈ 2.41 (29), as indicated by the dashed line in Fig. 3. These are the same timescales as in the SS-to-SF transition (Fig. 2b). Such an observation raises the question: why does the SS state facilitate the transition to wave turbulence faster than a SF?
Time evolution of the scaling exponent under continuous driving from the SS (ai = 89 a0) to the droplets (af = 82 a0) phase for different driving frequencies (see legend). Saturation of the exponent around 2.41 (dashed line) indicates the approach to a quasi-steady state. The latter encompassing a SF background is visualized in the inset depicting \(\int \,dz\,{\left|\Psi ({{\bf{r}}},t)\right|}^{2}\) pertaining to ωd = 2π × 126 Hz at long evolution times.
Cascade front dynamics
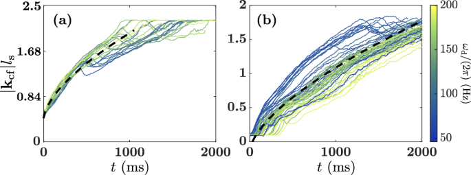
The answer lies in the dynamics of the cascade front \(\left|{{{\bf{k}}}}_{{{\rm{cf}}}}\right|\) associated with the cusp point, where \(\widetilde{n}(\left|{{\bf{k}}}\right|,t)\) falls faster than \({\left|{{\bf{k}}}\right|}^{-\gamma }\) at large momenta14, and governing energy transport towards larger momenta in wave turbulence. As the cascade front propagates, it establishes the quasi-steady state in its wake. Within the weak wave turbulence framework13, the growth of the cascade front follows the scaling relation \(\left|{{{\bf{k}}}}_{{{\rm{cf}}}}\right| \sim {t}^{-\beta }\), with \(\beta =-\frac{1}{2+d-\gamma }\) in d-dimensions. It is derived from energy and particle conservation laws and holds universally, i.e., regardless of the system microscopic characteristics, as long as the dispersion relation of elementary excitations is quadratic33. For a dipolar condensate, the linear phononic contribution at low momenta is followed by the roton minimum at intermediate momenta, and eventually the dispersion relation becomes quadratic64. The roton minimum for the SS initial state considered herein corresponds to \(\left|{{{\bf{k}}}}_{{{\rm{rot}}}}\right|{l}_{{{\rm{s}}}}\simeq 0.1487\); see the vertical dash-dotted line in Fig. 2a. Therefore, it is anticipated that the energy growth rate to high momenta scales with the same exponent β for both SS and SF initial states.
The cascade front is determined by the intersection of \(\widetilde{n}(\left|{{\bf{k}}}\right|,t){(\left|{{\bf{k}}}\right|{l}_{{{\rm{s}}}})}^{\gamma }\) and a threshold set at half of the nonequilibrium quasi-steady state plateau32, see the horizontal dashed line in Fig. 2a. Fitting \(\left|{{{\bf{k}}}}_{{{\rm{cf}}}}\right|\) with t−β (dashed lines in Fig. 4), unveils the scaling exponent for the SS to SF phase crossing (Fig. 4a), β = − 0.63 (05), which is indeed similar to the one extracted for the reverse crossing (Fig. 4b), that is β = − 0.64 (07). Moreover, the scaling is almost independent of ωd, demonstrating once more the independence of the quasi-steady state on the driving. Additionally, the same scaling exponent β appears in the transition of SSs to dipolar droplet lattice, further evincing the universality of wave turbulence. In all cases a cascade front propagates also in the axial direction, evincing a direct energy cascade along z (see Supplementary Note 1). However, no clear scaling law behavior is observed.
Cascade front \(\left|{{{\bf{k}}}}_{{{\rm{cf}}}}\right|{l}_{{{\rm{s}}}}\) when transitioning from a SS-to-SF [ai(af) = 89(98) a0], and b vice versa [ai(af) = 98(91) a0] for different driving frequencies, ωd. The black dashed lines represent the fits \(\left|{{{\bf{k}}}}_{{{\rm{cf}}}}\right| \sim {t}^{-\beta }\). The extended momentum distribution of the SS leads to a faster saturation of the cascade front compared to the SF.
Although the cascade front exhibits a similar growth in both dynamical crossings of the SS-to-SF transition, it starts from a larger value when the system resides in a SS phase, see Fig. 4a. This difference arises because the momentum distribution of the latter possesses a larger amplitude at large \(\left|{{\bf{k}}}\right|\) compared to that of a SF, due to the high momentum peaks associated with the roton minimum39. Therefore, at a given time, \(\left|{{{\bf{k}}}}_{{{\rm{cf}}}}\right|\) attains higher values in the case of a SS compared to a SF. We remark that the long-time behavior of the cascade front depends on the chosen threshold. Namely, smaller thresholds lead to saturation of \(\left|{{{\bf{k}}}}_{{{\rm{cf}}}}\right|\) at larger momenta. However, the scaling exponent β has a weak dependence on the threshold for both initial states. As a consequence, the saturation of \(\left|{{{\bf{k}}}}_{{{\rm{cf}}}}\right|\) to the largest available momentum scale in our setup occurs faster in the case of the SS-to-SF transition (Fig. 4a).
Apart from \(\left|{{{\bf{k}}}}_{{{\rm{cf}}}}\right|\), the exponent β dictates the evolution of the momentum distribution prior to the establishment of the quasi-steady state. In particular, within weak wave turbulence the scaling relation \({\left(\frac{t}{{t}_{0}}\right)}^{-\gamma \beta }\widetilde{n}(\left|{{\bf{k}}}\right|,t)=\widetilde{n}(\left|{{\bf{k}}}\right|{(t/{t}_{0})}^{\beta },{t}_{0})\) holds32, where t0 is an arbitrary timescale. Exploiting this relation reveals that the curves of \(\widetilde{n}(\left|{{\bf{k}}}\right|,t){(\left|{{\bf{k}}}\right|{l}_{{{\rm{s}}}})}^{\gamma }\) at long time instants converge towards a narrow band regardless of the initial state unveiling the self-similar dynamics of the turbulent cascade.
Turbulence in the presence of three-body losses
It is known that the many-body self-bound SS and droplet states suffer from three-body recombination processes experimentally59 since they exhibit high densities. A question that arises is whether the relevant three-body loss mechanisms might impede the experimental detection of wave turbulence, given that it occurs over long evolution times. To facilitate corresponding experimental endeavors, here, we demonstrate that the inclusion of three-body losses does not prevent the emergence of wave turbulence. We substantiate this argument by using the SS as an initial state with ai = 89 a0, and subsequently dynamically cross the SF boundary upon considering af = 98 a0 and a driving frequency ωd = 2π × 127 Hz. To take into account three-body losses, we consider an additional imaginary term in our extended Gross-Pitaevskii description emulating such lossy channels with the recombination rate L3 = 1.2 × 10−41 m6/s, pertaining to 164Dy atoms55,72, see Methods for details.
Despite the occurrence of three-body losses, the dipolar SS still clearly enters the wave turbulent regime at long evolution times. This is evident by the power law behavior at large momenta shown in the inset of Fig. 5a, with γ = 2.51(05). In particular, a plateau appears in the compensated spectrum [Fig. 5(a)] around \(\left|{{\bf{k}}}\right|{l}_{{{\rm{s}}}}\simeq 1\) at t > 600 ms, signaling the emergence of a nonequilibrium quasi-steady state. A similar behavior of the compensated spectrum occurs also for other driving frequencies (not shown for brevity). The fitted exponent [solid line in Fig. 5b] lies very close to the one pertaining to L3 = 0 (dashed line) during the dynamics, displaying negligible deviations at late evolution times. Both of the exponents eventually saturate in the ballpark of 2.5. For completeness, we remark that within the presented timescales the particle number drops to around ≃ 60% of the initial atom number N0 = 8 × 104, see the inset of Fig. 5b. This is also manifested by the smaller amplitude of the compensated momentum distribution (Fig. 5a) in comparison to the respective one without three-body losses (Fig. 2a). This behavior is particularly pronounced at large momenta, where \(\widetilde{n}(\left|{{\bf{k}}}\right|,t){(\left|{{\bf{k}}}\right|{l}_{{{\rm{s}}}})}^{\gamma }\) (Fig. 5a) displays a much steeper descend than without the L3 coefficient. This prominent descend at large momenta facilitated by three-body losses is in line with experimental observations32. Moreover, the SS nature of the dynamical state is still preserved within the timescales that the quasi-steady state is reached.
a Compensated spectrum with the inclusion of three-body losses for ai = 89 a0, af = 98 a0 and ωd = 2π × 127 Hz as in Fig. 2a. Saturation of the spectrum at t > 500 ms takes place manifesting the approach to turbulent behavior. The inset presents the \({\left|{{\bf{k}}}\right|}^{-\gamma }\) power-law fitting of the momentum distribution in the range \(\left|{{\bf{k}}}\right|{l}_{{{\rm{s}}}}\simeq 1\). b Comparison between the exponent dynamics at large momenta with finite and zero three-body recombination (see legend). As it can be seen, there are no appreciable deviations imprinted in the exponent between the finite L3 and L3 = 0 scenario, while in both cases the exponent saturates close to ≈ 2.51. The inset presents the particle number during the time evolution, normalized to the initial number N0 = 8 × 104. Even for the ~40% atom losses occurring at long evolution times a SS structure persists.
Conclusions
We theoretically explored the manifestation and properties of wave turbulence in driven dipolar gases featuring beyond mean-field corrections, while dynamically crossing the ensuing phase boundaries. The behavior of the spectrum at long timescales is unveiled associated with a direct energy cascade and the emergence of a genuine nonequilibrium quasi-steady state. The estimated scaling exponents at large momenta signal the onset of wave turbulence. Interestingly, a similar power-law behavior and exponent appear in the presence of three-body losses which, however, enforce a more drastic decay at large momenta. The inherent extended momentum distributions of exotic phases of matter such as SS or droplets expedite the generation of the ensuing nonequilibrium quasi-steady state. We have demonstrated the emergence of wave turbulence independently of the initial phase, the driving frequency and the crossed phase boundary.
Our results open new avenues for the exploration of quantum turbulence and the universal features of nonequilibrium dynamics in long-range interacting platforms39, even beyond dipolar gases, exhibiting, for instance, crystalline density order7. In this context, it would be valuable to explore how different exotic crystal arrangements80,81 (beyond the hexagonal one) can be systematically used to engineer the onset of turbulence. A natural next step is to investigate the emergence of the inverse energy cascade24,37,82 in such long-range interacting setups with a particular focus on understanding the role of relevant beyond-mean-field phases of matter. Another interesting pathway is to unravel non-conventional anisotropic turbulent aspects e.g., with the aid of a rotating magnetic field83,84. Moreover, other dynamical protocols for generating wave turbulence would be worth pursuing, such as driven spatially modulated external potentials37 reflecting the symmetry of the SS configurations. Finally, further studies are required to establish a solid understanding of the impact of the dimensionality of the dipolar gas on the emergent turbulent cascades85,86.
Methods
The ground states and non-equilibrium dynamics are obtained by means of the imaginary and real time propagation respectively, employing the split-step Crank-Nicolson numerical scheme87,88. To emulate three-body losses in the dynamics of the 3D dipolar gas, we include the additional imaginary term \(-{{\rm{i}}}\hslash \frac{{L}_{3}}{2}{\left|\Psi \right|}^{4}\Psi\) to the right hand side of Eq. (1), with L3 denoting the underlying experimentally relevant three-body recombination rate for 164Dy atoms. Let us note that despite the modulated scattering lengths, the recombination rate is taken to be time-independent. This is due to the fact that the background scattering length of 164Dy is roughly 92 a076. Therefore, relatively small scattering length variations are required to cross the SF-to-SS transition, translating to small changes in L3.
Data availability
The data associated with this work are available from the corresponding author upon request.
Code availability
The code associated with this work are available from the corresponding author upon request.
References
Kolmogorov, A. N. The local structure of turbulence in incompressible viscous fluid for very large reynolds numbers. Dokl. Akad. Nauk SSSR 30, 301 (1941).
Obukhov, A. On the distribution of energy in the spectrum of turbulent flow. Dokl. Akad. Nauk SSSR. 32, 22 (1941).
Kraichnan, R. H. Inertial ranges in two-dimensional turbulene. Phys. Fluids 10, 1417 (1967).
Frisch, U. Turbulence: the legacy of AN Kolmogorov (Cambridge University Press, 1995).
Hwang, P. A., Wang, D. W., Walsh, E. J., Krabill, W. B. & Swift, R. N. Airborne measurements of the wavenumber spectra of ocean surface waves. Part I: spectral slope and dimensionless spectral coefficient. J. Phys. Oceanogr. 30, 2753 (2000).
Cobelli, P. et al. Different regimes for water wave turbulence. Phys. Rev. Lett. 107, 214503 (2011).
Choi, H. J., Lim, S. T., Lai, P.-Y. & Chan, C. K. Turbulent drag reduction and degradation of DNA. Phys. Rev. Lett. 89, 088302 (2002).
Bakas, N. A. & Ioannou, P. J. Emergence of large scale structure in barotropic β-plane turbulence. Phys. Rev. Lett. 110, 224501 (2013).
Diamond, P. H., Itoh, S.-I., Itoh, K. & Hahm, T. S. Zonal flows in plasma-a review. Plasma Phys. Control. Fusion 47, R35 (2005).
Mösta, P. et al. A large-scale dynamo and magnetoturbulence in rapidly rotating core-collapse supernovae. Nature 528, 376 (2015).
Chorin, A. J. Vorticity and Turbulence (Springer, 1994).
Yao, J. & Hussain, F. Vortex reconnection and turbulence cascade. Annu. Rev. Fluid Mech. 54, 317 (2022).
Zakharov, V. E., L’vov, V. S. & Falkovich, G. Kolmogorov spectra of turbulence I: Wave turbulence (Springer, 1992).
Nazarenko, S. Wave turbulence, 825 (Springer, 2011).
Dyachenko, S., Newell, A., Pushkarev, A. & Zakharov, V. Optical turbulence: weak turbulence, condensates and collapsing filaments in the nonlinear schrödinger equation. Phys. D: Nonlinear Phenom. 57, 96 (1992).
Madeira, L., Caracanhas, M. A., dos Santos, F. & Bagnato, V. S. Quantum turbulence in quantum gases. Annu. Rev. Condens. Matter Phys. 11, 37 (2020).
Tsatsos, M. C. et al. Quantum turbulence in trapped atomic Bose–Einstein condensates. Phys. Rep. 622, 1 (2016).
Navon, N., Gaunt, A. L., Smith, R. P. & Hadzibabic, Z. Emergence of a turbulent cascade in a quantum gas. Nature 539, 72 (2016).
Vinen, W. & Niemela, J. Quantum turbulence. J. Low Temp. Phys. 128, 167 (2002).
Seman, J. A. et al. Route to turbulence in a trapped Bose-Einstein condensate. Laser Phys. Lett. 8, 691 (2011).
Yukalov, V. I., Yukalova, E. P. & Bagnato, V. S. Trapped Bose-Einstein condensates with nonlinear coherent modes. Laser Phys. 33, 123001 (2023).
Kwon, W. J., Moon, G., Choi, J. -y, Seo, S. W. & Shin, Y. -i Relaxation of superfluid turbulence in highly oblate bose-einstein condensates. Phys. Rev. A 90, 063627 (2014).
Henn, E. A. L., Seman, J. A., Roati, G., Magalhães, K. M. F. & Bagnato, V. S. Emergence of turbulence in an oscillating Bose-Einstein condensate. Phys. Rev. Lett. 103, 045301 (2009).
Neely, T. W. et al. Characteristics of two-dimensional quantum turbulence in a compressible superfluid. Phys. Rev. Lett. 111, 235301 (2013).
Gauthier, G. et al. Giant vortex clusters in a two-dimensional quantum fluid. Science 364, 1264 (2019).
Johnstone, S. P. et al. Evolution of large-scale flow from turbulence in a two-dimensional superfluid. Science 364, 1267 (2019).
Baggaley, A. W. & Barenghi, C. F. Spectrum of turbulent Kelvin-waves cascade in superfluid helium. Phys. Rev. B 83, 134509 (2011).
Mossman, M. E., Hoefer, M. A., Julien, K., Kevrekidis, P. G. & Engels, P. Dissipative shock waves generated by a quantum-mechanical piston. Nat. Commun. 9, 4665 (2018).
Ghosh Dastidar, M., Das, S., Mukherjee, K. & Majumder, S. Pattern formation and evidence of quantum turbulence in binary Bose-Einstein condensates interacting with a pair of Laguerre-Gaussian laser beams. Phys. Lett. A 421, 127776 (2022).
Das, S., Mukherjee, K. & Majumder, S. Vortex formation and quantum turbulence with rotating paddle potentials in a two-dimensional binary Bose-Einstein condensate. Phys. Rev. A 106, 023306 (2022).
Bulgac, A., Kafker, M., Abdurrahman, I. & Wlazłowski, G. Quantum turbulence, superfluidity, non-Markovian dynamics, and wave function thermalization. Phys. Rev. Res. 6, L042003 (2024).
Gałka, M. et al. Emergence of isotropy and dynamic scaling in 2d wave turbulence in a homogeneous Bose gas. Phys. Rev. Lett. 129, 190402 (2022).
Navon, N. et al. Synthetic dissipation and cascade fluxes in a turbulent quantum gas. Science 366, 382 (2019).
Dogra, L. H. et al. Universal equation of state for wave turbulence in a quantum gas. Nature 620, 521 (2023).
Martirosyan, G., Fujimoto, K. & Navon, N. An equation of state for turbulence in the gross-pitaevskii model. Preprint at https://doi.org/10.48550/arXiv.2407.08738 (2024).
Zhu, Y., Krstulovic, G. & Nazarenko, S. Turbulence and far-from-equilibrium equation of state of Bogoliubov waves in Bose-Einstein condensates. Preprint at https://doi.org/10.48550/arXiv.2408.15163 (2024).
Karailiev, A. et al. Observation of an inverse turbulent-wave cascade in a driven quantum gas. Phys. Rev. Lett. 133, 243402 (2024).
Bland, T., Stagg, G. W., Galantucci, L., Baggaley, A. & Parker, N. G. Quantum ferrofluid turbulence. Phys. Rev. Lett. 121, 174501 (2018).
Chomaz, L. et al. Dipolar physics: a review of experiments with magnetic quantum gases. Rep. Prog. Phys. 86, 026401 (2022).
Lahaye, T., Menotti, C., Santos, L., Lewenstein, M. & Pfau, T. The physics of dipolar bosonic quantum gases. Rep. Prog. Phys. 72, 126401 (2009).
Hughes, M., A. U. J., Jaksch, D. & Molignini, P. Accuracy of quantum simulators with ultracold dipolar molecules: A quantitative comparison between continuum and lattice descriptions. Phys. Rev. A 107, 033323 (2023).
Sabari, S., Kishor Kumar, R. & Tomio, L. Vortex dynamics and turbulence in dipolar Bose-Einstein condensates. Phys. Rev. A 109, 023313 (2024).
Prasad, S. B., Parker, N. G. & Baggaley, A. W. Crow instability of vortex lines in dipolar superfluids. Sci. Rep. 15, 33364 (2025).
Altmeyer, S., Do, Y. & Lai, Y.-C. Transition to turbulence in Taylor-Couette ferrofluidic flow. Sci. Rep. 5, 10781 (2015).
Mouraya, S., Pan, N. & Banerjee, S. Stationary and nonstationary energy cascades in homogeneous ferrofluid turbulence. Phys. Rev. Fluids 9, 094604 (2024).
Altmeyer, S., Do, Y. & Lai, Y.-C. Magnetic field induced flow pattern reversal in a ferrofluidic Taylor-Couette system. Sci. Rep. 5, 18589 (2015).
Lu, M., Burdick, N. Q., Youn, S. H. & Lev, B. L. Strongly dipolar Bose-Einstein condensate of dysprosium. Phys. Rev. Lett. 107, 190401 (2011).
Aikawa, K. et al. Bose-Einstein condensation of erbium. Phys. Rev. Lett. 108, 210401 (2012).
Miyazawa, Y., Inoue, R., Matsui, H., Nomura, G. & Kozuma, M. Bose-Einstein condensation of europium. Phys. Rev. Lett. 129, 223401 (2022).
Kadau, H. et al. Observing the Rosensweig instability of a quantum ferrofluid. Nature 530, 194 (2016).
Schmitt, M., Wenzel, M., Böttcher, F., Ferrier-Barbut, I. & Pfau, T. Self-bound droplets of a dilute magnetic quantum liquid. Nature 539, 259 (2016).
Ferrier-Barbut, I., Kadau, H., Schmitt, M., Wenzel, M. & Pfau, T. Observation of quantum droplets in a strongly dipolar Bose gas. Phys. Rev. Lett. 116, 215301 (2016).
Chomaz, L. et al. Quantum-fluctuation-driven crossover from a dilute Bose-Einstein condensate to a macrodroplet in a dipolar quantum fluid. Phys. Rev. X 6, 041039 (2016).
Wächtler, F. & Santos, L. Ground-state properties and elementary excitations of quantum droplets in dipolar Bose-Einstein condensates. Phys. Rev. A 94, 043618 (2016).
Wächtler, F. & Santos, L. Quantum filaments in dipolar Bose-Einstein condensates. Phys. Rev. A 93, 061603 (2016).
Chester, G. V. Speculations on Bose-Einstein condensation and quantum crystals. Phys. Rev. A 2, 256 (1970).
Leggett, A. J. Can a Solid Be “Superfluid"?. Phys. Rev. Lett. 25, 1543 (1970).
Tanzi, L. et al. Supersolid symmetry breaking from compressional oscillations in a dipolar quantum gas. Nature 574, 382–385 (2019).
Böttcher, F. et al. Transient supersolid properties in an array of dipolar quantum droplets. Phys. Rev. X 9, 011051 (2019).
Chomaz, L. et al. Long-lived and transient supersolid behaviors in dipolar quantum gases. Phys. Rev. X 9, 021012 (2019).
Norcia, M. A. et al. Two-dimensional supersolidity in a dipolar quantum gas. Nature 596, 357 (2021).
Biagioni, G. et al. Dimensional crossover in the superfluid-supersolid quantum phase transition. Phys. Rev. X 12, 021019 (2022).
Bland, T. et al. Two-dimensional supersolid formation in dipolar condensates. Phys. Rev. Lett. 128, 195302 (2022).
Petter, D. et al. Probing the Roton excitation spectrum of a stable dipolar Bose Gas. Phys. Rev. Lett. 122, 183401 (2019).
Guo, M. et al. The low-energy Goldstone mode in a trapped dipolar supersolid. Nature 574, 386–389 (2019).
Boninsegni, M. & Prokof’ev, N. V. Colloquium: supersolids: what and where are they?. Rev. Mod. Phys. 84, 759 (2012).
Poli, E., Baillie, D., Ferlaino, F. & Blakie, P. B. Excitations of a two-dimensional supersolid. Phys. Rev. A 110, 053301 (2024).
Lee, T. D., Huang, K. & Yang, C. N. Eigenvalues and eigenfunctions of a Bose system of hard spheres and its low-temperature properties. Phys. Rev. 106, 1135 (1957).
Zhang, F. & Yin, L. Phonon stability of quantum droplets in dipolar Bose gases. Chinese Phys. Lett. 39, 060301 (2022).
Lima, A. R. P. & Pelster, A. Quantum fluctuations in dipolar Bose gases. Phys. Rev. A 84, 041604 (2011).
Baillie, D. & Blakie, P. B. Droplet crystal ground states of a dipolar Bose gas. Phys. Rev. Lett. 121, 195301 (2018).
Casotti, E. et al. Observation of vortices in a dipolar supersolid. Nature 635, 327 (2024).
Ronen, S., Bortolotti, D. C. E., Blume, D. & Bohn, J. L. Dipolar Bose-Einstein condensates with dipole-dependent scattering length. Phys. Rev. A 74, 033611 (2006).
Yi, S. & You, L. Trapped condensates of atoms with dipole interactions. Phys. Rev. A 63, 053607 (2001).
Chin, C., Grimm, R., Julienne, P. & Tiesinga, E. Feshbach resonances in ultracold gases. Rev. Mod. Phys. 82, 1225 (2010).
Maier, T. et al. Broad universal feshbach resonances in the chaotic spectrum of dysprosium atoms. Phys. Rev. A 92, 060702 (2015).
Schützhold, R., Uhlmann, M., Xu, Y. & Fischer, U. R. Mean-field expansion in Bose–Einstein condensates with finite-range interactions. Int. J. Mod. Phys. B 20, 3555 (2006).
Zhu, Y., Semisalov, B., Krstulovic, G. & Nazarenko, S. Direct and inverse cascades in turbulent Bose-Einstein condensates. Phys. Rev. Lett. 130, 133001 (2023).
Kolmakov, G. V., McClintock, P. V. E. & Nazarenko, S. V. Wave turbulence in quantum fluids. Proc. Natl. Acad. Sci. USA 111, 4727 (2014).
Ripley, B. T. E., Baillie, D. & Blakie, P. B. Two-dimensional supersolidity in a planar dipolar Bose gas. Phys. Rev. A 108, 053321 (2023).
Hertkorn, J. et al. Pattern formation in quantum ferrofluids: from supersolids to superglasses. Phys. Rev. Res. 3, 033125 (2021).
Reeves, M. T., Billam, T. P., Anderson, B. P. & Bradley, A. S. Inverse energy cascade in forced two-dimensional quantum turbulence. Phys. Rev. Lett. 110, 104501 (2013).
Halder, S. et al. Control of 164Dy Bose-Einstein condensate phases and dynamics with dipolar anisotropy. Phys. Rev. Res. 4, 043124 (2022).
Mukherjee, K., Tengstrand, M. N., Cardinale, T. A. & Reimann, S. M. Supersolid stacks in antidipolar Bose-Einstein condensates. Phys. Rev. A 108, 023302 (2023).
Alexakis, A. Quasi-two-dimensional turbulence. Rev. Mod. Plasma Phys. 7, 31 (2023).
Danilov, S. D. & Gurarie, D. Quasi-two-dimensional turbulence. Phys. Usp. 43, 863 (2000).
Crank, J. & Nicolson, P. A practical method for numerical evaluation of solutions of partial differential equations of the heat-conduction type. Math. Proc. Camb. Philos. Soc. 43, 50–67 (1947).
Antoine, X., Bao, W. & Besse, C. Computational methods for the dynamics of the nonlinear schrödinger/gross–pitaevskii equations. Comput. Phys. Commun. 184, 2621 (2013).
Acknowledgements
S. I. M. acknowledges support from the Missouri University of Science and Technology, Department of Physics, in the framework of a Startup fund. Financial support by the Knut and Alice Wallenberg Foundation and the Swedish Research Council are also acknowledged (K. M.). S. I. M. acknowledges extensive discussions with H. R. Sadeghpour in the context of universal dynamics and supersolid character. K.M. gratefully acknowledges many discussions with Stephanie M. Reimann on the topic of supersolidity. The authors acknowledge the anonymous referees for their insightful comments.
Author information
Authors and Affiliations
Contributions
G.A.B. performed the numerical simulations and carried out the associated analysis. K.M. benchmarked part of the simulations and developed numerical scripts for portions of the analysis. S.I.M. conceived the idea of the work, supervised and funded the project. All authors contributed to the interpretation of the results and the writing of the manuscript.
Corresponding author
Ethics declarations
Competing interests
The authors declare no competing interests.
Peer review
Peer review information
Communications Physics thanks Thomas Bland and the other, anonymous, reviewer(s) for their contribution to the peer review of this work.
Additional information
Publisher’s note Springer Nature remains neutral with regard to jurisdictional claims in published maps and institutional affiliations.
Supplementary information
Rights and permissions
Open Access This article is licensed under a Creative Commons Attribution-NonCommercial-NoDerivatives 4.0 International License, which permits any non-commercial use, sharing, distribution and reproduction in any medium or format, as long as you give appropriate credit to the original author(s) and the source, provide a link to the Creative Commons licence, and indicate if you modified the licensed material. You do not have permission under this licence to share adapted material derived from this article or parts of it. The images or other third party material in this article are included in the article’s Creative Commons licence, unless indicated otherwise in a credit line to the material. If material is not included in the article’s Creative Commons licence and your intended use is not permitted by statutory regulation or exceeds the permitted use, you will need to obtain permission directly from the copyright holder. To view a copy of this licence, visit http://creativecommons.org/licenses/by-nc-nd/4.0/.
About this article
Cite this article
Bougas, G.A., Mukherjee, K. & Mistakidis, S.I. Generation of wave turbulence in dipolar gases driven across their phase transitions. Commun Phys 9, 54 (2026). https://doi.org/10.1038/s42005-026-02487-w
Received:
Accepted:
Published:
Version of record:
DOI: https://doi.org/10.1038/s42005-026-02487-w







