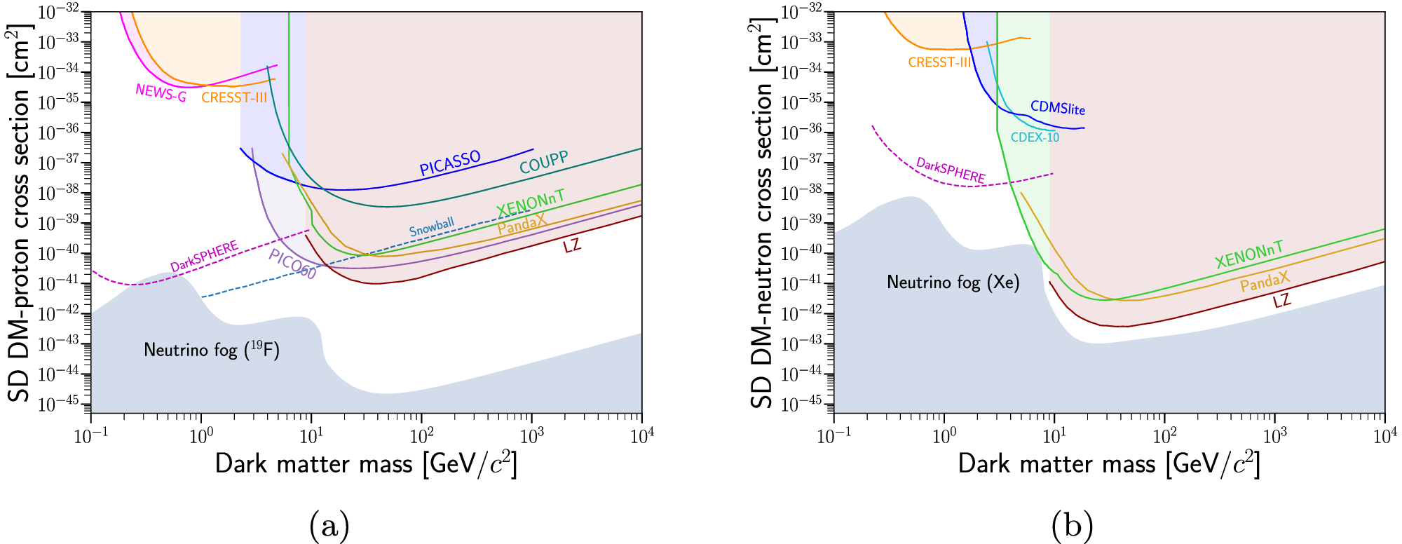
Fig. 5: Present limits and future sensitivities to the spin-dependent (SD) dark matter cross section.
From: Progress and prospects in the underground laboratories' search for dark matter

(a) for protons and (b) for neutrons. Solid lines are limits at 90% confidence level (C.L.) from previous or currently running dark matter direct detection experiments33,49,148,151,152,155,156,159,160,161,162,163. Dashed lines are projected 90% C.L. exclusion sensitivity of future experiments122. The shaded gray region is the neutrino fog for a 19F target in the dark matter-proton scattering case, and a xenon target in the dark matter-neutron scattering case.