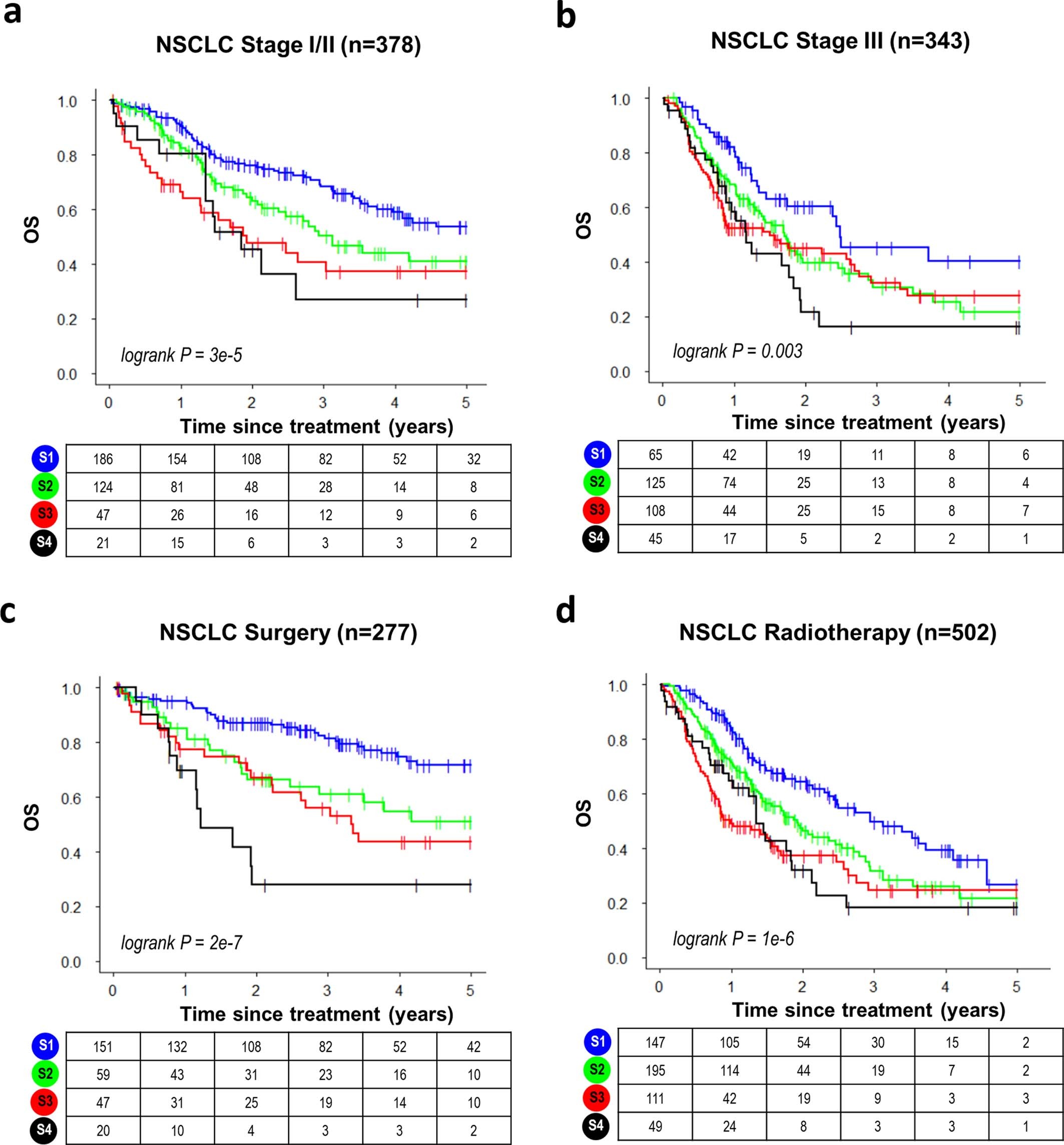
Extended Data Fig. 6: Evaluation of prognostic value of the four imaging subtypes in lung cancer subgroups.
From: Radiological tumour classification across imaging modality and histology

Evaluation of prognostic value of the four imaging subtypes in lung cancer subgroups. Kaplan-Meier curves for a) stage I + II; b) Stage III; c) Patients treated with surgery; d) Patients treated with radiation.