Extended Data Fig. 1: Simple and complex target substructures.

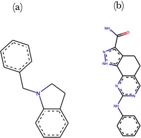
Diagrams of (a) simple and (b) complex target structures used for Tanimoto similarity and substructure generation experiments.

Diagrams of (a) simple and (b) complex target structures used for Tanimoto similarity and substructure generation experiments.