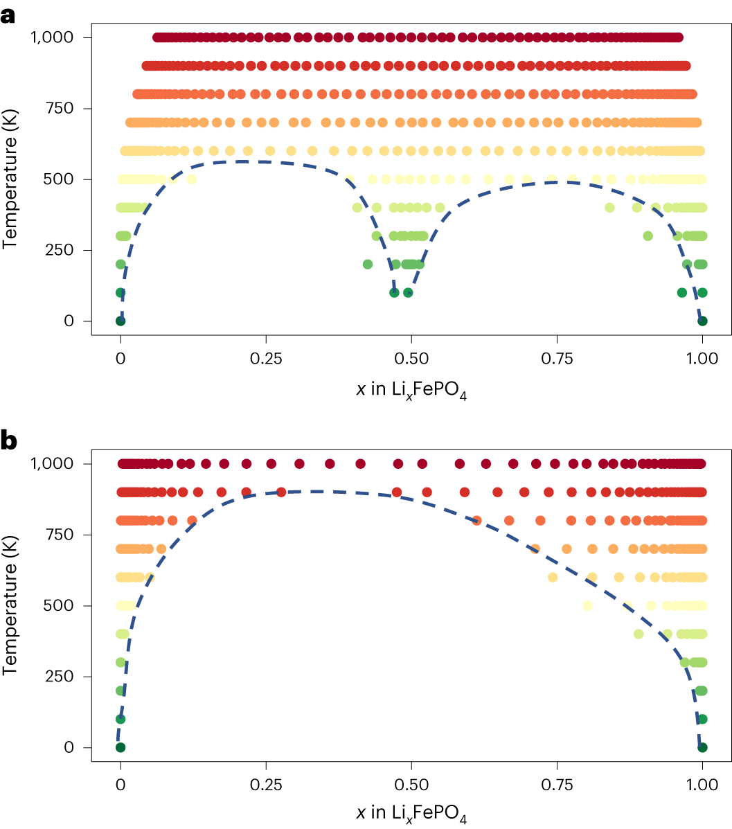
Fig. 5: LixFePO4 phase diagrams from CHGNet.
From: CHGNet as a pretrained universal neural network potential for charge-informed atomistic modelling

a,b, The phase diagrams are calculated with (a) and without (b) electronic entropy on Fe2+ and Fe3+. The coloured dots represent the stable phases obtained in semigrand canonical MC. The dashed lines indicate the two-phase equilibria between solid solution phases.