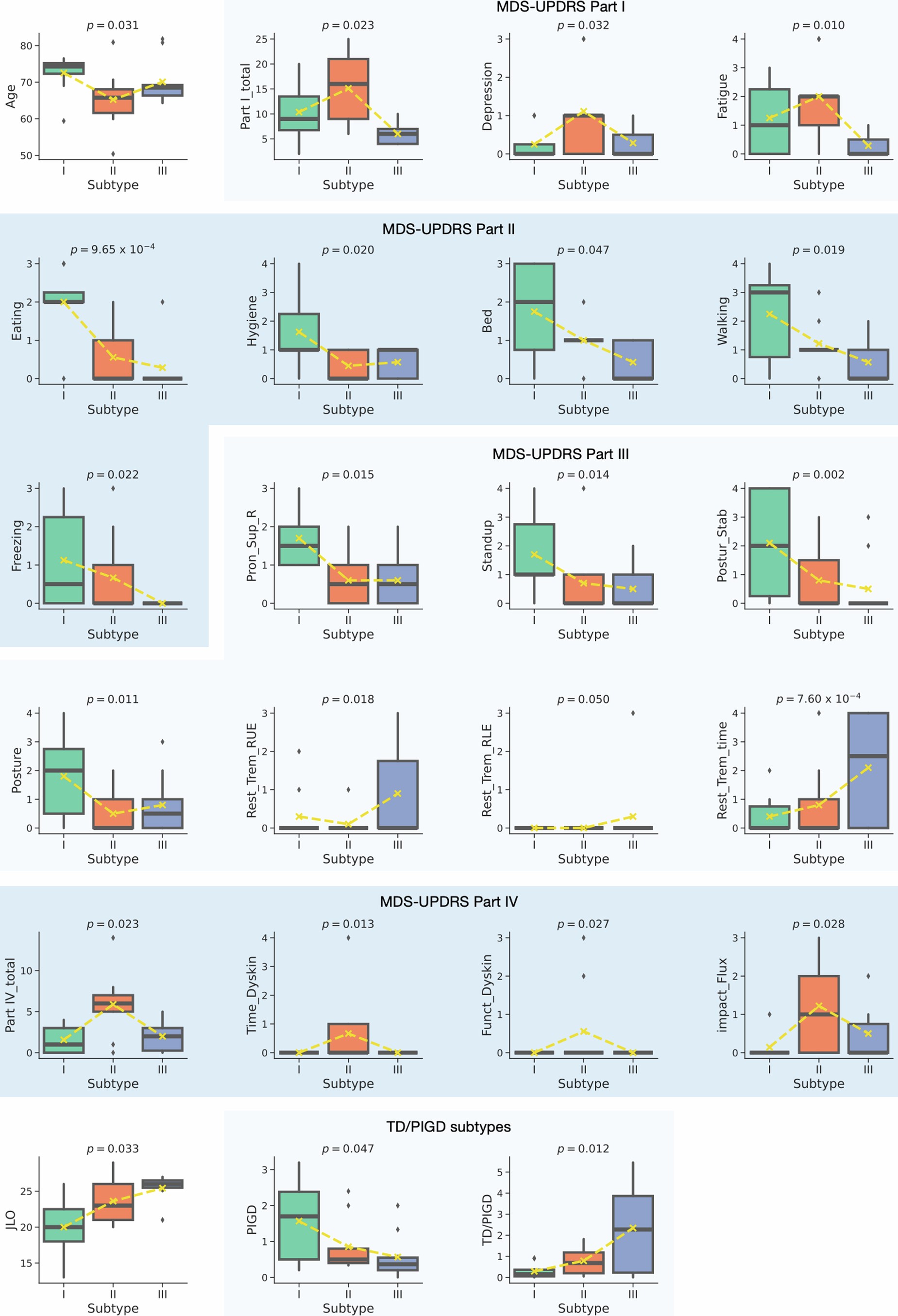
Extended Data Fig. 1: Full visualization of subtype characteristics.
From: Data-driven discovery of movement-linked heterogeneity in neurodegenerative diseases

The displayed variables exhibited statistically significant (P < 0.05) levels of expression between subtypes (N = 30) as measured by the two-sided Chi-square test for categorical variables and the Kruskal-Wallis test for continuous variables. For each box, the central line indicates the subtype median value, and the top and bottom edges indicate the 75th and 25th percentiles, respectively. The whiskers extend to 1.5 times the interquartile range, and data points beyond the whiskers are represented using the ♦ symbol. Each subtype mean value is overlayed as a gold × symbol, and dashed gold lines connect subtype mean values across subtypes. Overall, Subtype I had the highest disease severity with more severe problems relating to motor aspects of experiences of daily living (MDS-UPDRS Part-II), higher observed motor difficulties (MDS-UPDRS Part-III excluding tremor), and lower visuospatial abilities (JLO). Subtype II exhibited more difficulties in non-motor aspects of experiences of daily living (MDS-UPDRS Part-I) and higher motor complications (MDS-UPDRS Part -V). Subtype III exhibited the lowest disease severity despite not being the youngest cohort. Generally, individuals in this subtype exhibited tremor symptoms, particularly for rest tremor amplitude of upper extremities and consistency of rest tremor. Yet, some individuals within the cohort had no tremor.