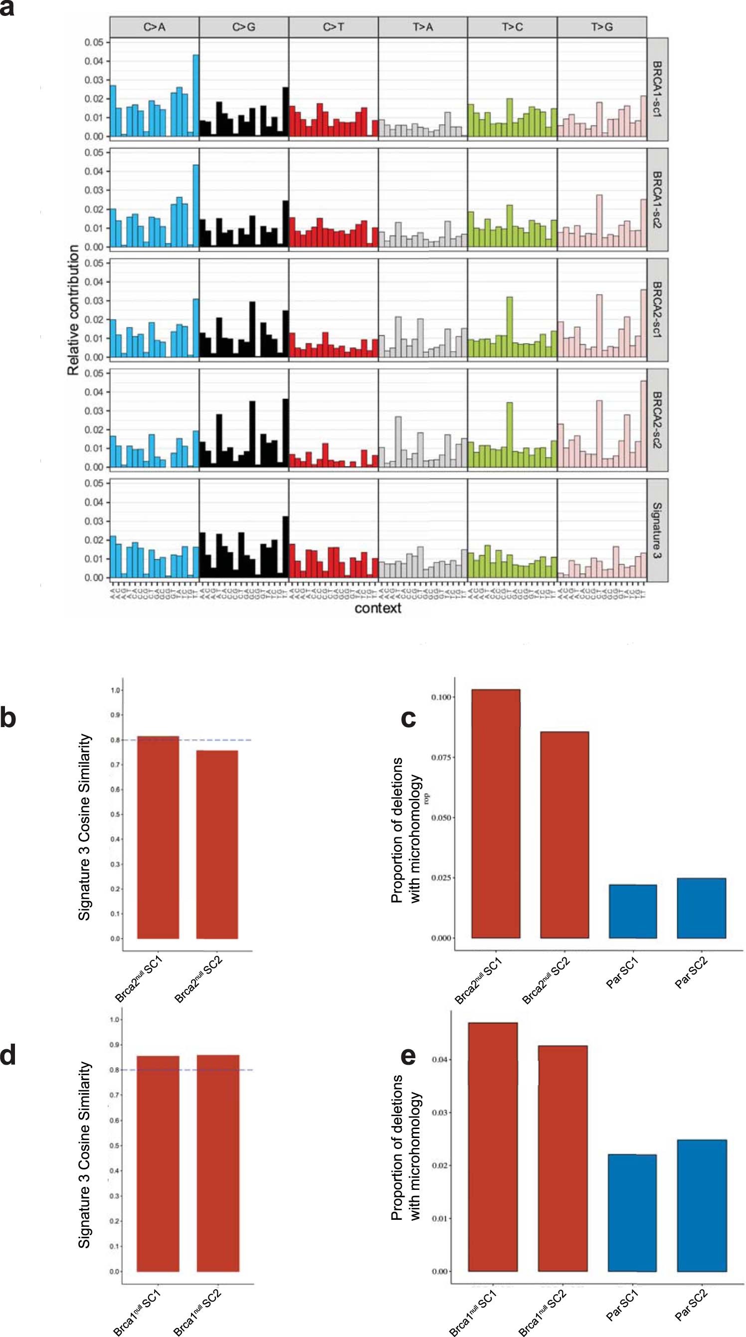
Extended Data Fig. 3: Characterization of the genomic alternation in 4T1 Brca2null clones.

a, The 96 base substitution pattern for Brca2null and Brca1null single-cell clones after subtraction of background mutagenesis pattern derived from parental clones. Signature 3, previously associated with HRD (that is Signature 3), is provided for reference. b, Cosine similarity of BRCA2 null experimentally derived mutational signature to previously described mutational signature related to COSMIC Signature 3. c, Proportion of deletions with microhomology in 4T1 Brca2null single-cell clones compared to parental single clones (two-sided Fisher’s exact test P<0.0001, for all mutant single cell clones compared to parental). d, Cosine similarity of Brca1null experimentally derived mutational signature to previously described mutational signature related to COSMIC Signature 3. e, Proportion of deletions with microhomology Brca1null single-cell clones compared to parental single clones using a two-sided Fisher’s exact test P<0.0001, for all mutant single cell clones compared to parental).