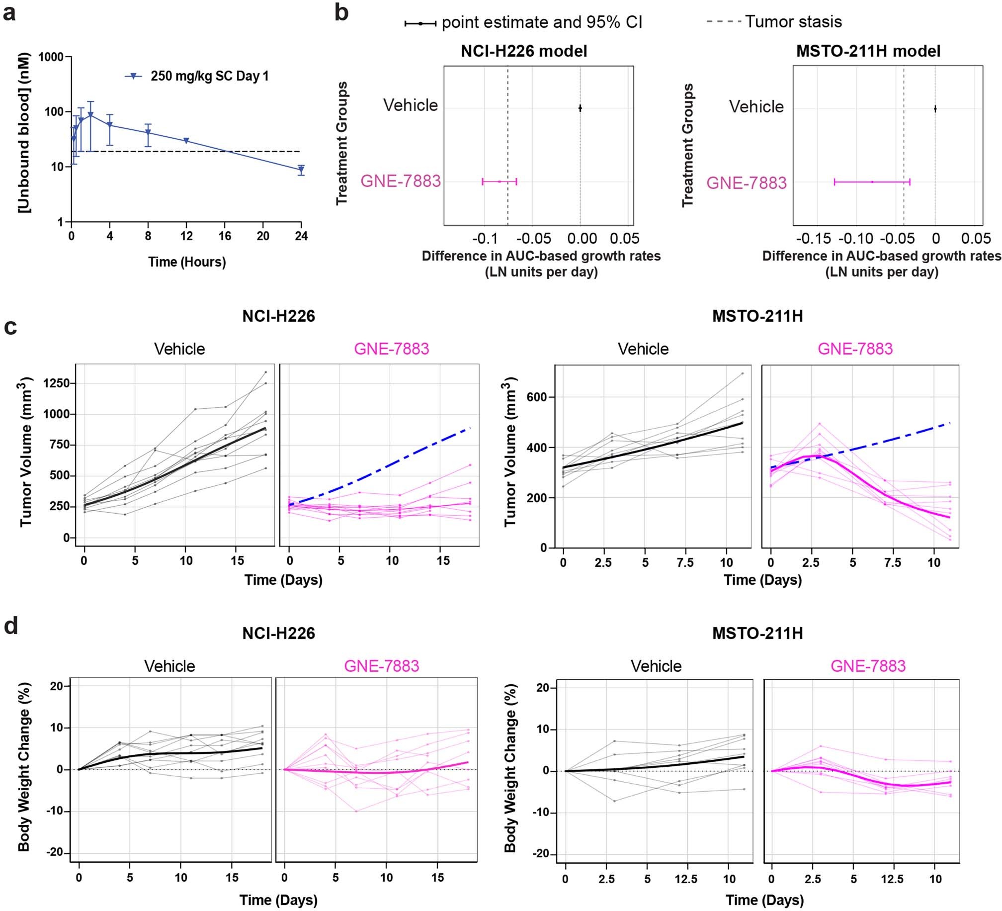
Extended Data Fig. 4: TEAD SMIs inhibit growth of YAP/TAZ-dependent cell lines in vitro and in vivo.

(a) Pharmacodynamic analysis of GNE-7883 by measuring unbound compound concentration in blood (mean±SD). EC50 (unbound values derived from in vitro assays and corrected for 88.3% binding to 10% FCS) concentration is indicated by the dotted line. n = 4 mice per timepoint. (b) Growth contrast plot comparing growth rates (point estimate ± 95% confidence interval) of tumors treated with GNE-7883 at 250 mg/kg, 4 days on 2 days off (magenta) versus the vehicle control (black). n = 10 animals per group. (c) Fitted tumor volume estimates are shown alongside tumor measurement of individual animals over time. Dashed blue lines in the right plot represent the fitted tumor growth curve under vehicle treatment. n = 10 mice per group. (d) Percent changes in body of mice treated with indicated compounds over time. The fitted estimates are shown alongside with body weight measurement of individual animals. n = 10 mice per group.