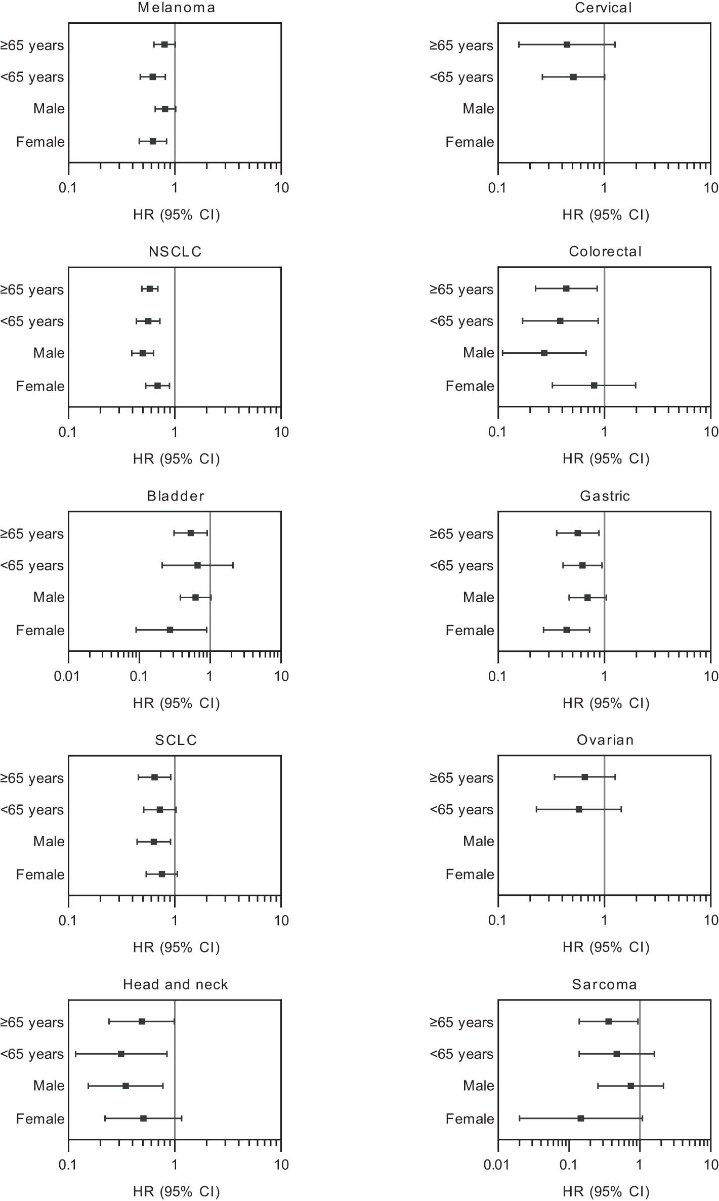
Extended Data Fig. 1: TMB cutoffs associated with ICI benefit retain predictive value across demographics.

Subset analyses of patients stratified by age groups and self-reported sex show that the association between TMB cutoffs and outcomes are similar across demographics. Forest plots depict hazard ratios (squares) and error bars indicate 95% confidence intervals.